
En aquesta entrada us proposo determinar la permitivitat elèctrica de l’aire (buit) a partir de la mesura de la capacitat d’un condensador pla paral·lel feta amb un dispositiu Arduino, el que ens permetrà calcular la velocitat de la llum si ja hem trobat el valor de la permeabilitat magnètica de l’aire.
μ0·ε0·c2 = 1
Aplicacions i materials
Es necessita un condensador de làmines planes i paral·leles regulable en distància i d’una superfície relativament gran (més de 200 cm2) per tal que la seva capacitat tingui un valor prou gran que permeti la seva mesura. El dispositiu es pot comprar en cases de material didàctic a un preu de 270 €, com aquest de la casa Ventus, però també es pot construir un amb dues planxes de metall (alumini, acer, etc) d’uns 20×20 cm i que siguin ben planes.
Una alternativa encara més assequible és la de fabricar el condensador amb dues planxes de fusta o plàstic (sempre ben planes) a les que enganxar amb cola paper d’alumini. És el que expliquen en Askix i és el que jo he fet per aquest experiment.

Per a mesurar la capacitat del condensador es necessita un capacímetre que mesuri picofaradis (pF). Pot servir un multímetre que mesuri capacitàncies (a partir de 16 €) o un capacímetre específic (a partir de 17 €).

Aquí també hi ha alternativa a la compra i és la d’utilitzar com a capacímetre un microprocessador Arduino, programat per a que sigui capaç de mesurar picofaradis. És el que han dissenyat en Electgpl i que explicaré en aquesta entrada més endavant.
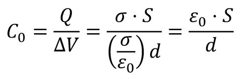
La capacitat elèctrica del condensador pla paral·lel
Un condensador pla paral·lel és un sistema format per dues superfícies conductores planes iguals, enfrontades i disposades en dos plans paral·lels, separades per un mitjà dielèctric que pot ser l’aire. Ambdues superfícies conductores quan es carreguen a una diferencia de potencial donada suporten quantitats de càrrega elèctrica d’igual magnitud però de signe contrari, de manera que les línies del camp elèctric surten del pla amb càrrega positiva +Q i acaben al pla amb la càrrega negativa −Q.
Les propietats elèctriques i el comportament d’un condensador en un circuit estan caracteritzades per la capacitat o capacitància elèctrica C, definida com la relació entre la càrrega elèctrica acumulada en una de les plaques conductores i la diferència de potencial entre les dues. Es tracta d’una característica del condensador que depèn només de la geometria del sistema (forma dels conductors, posició relativa…) i del medi dielèctric que s’interposa entre les plaques. En el cas del condensador pla paral·lel que utilitzarem, amb espai buit (aire) entre els conductors, la capacitància elèctrica serà:

On C0 és la capacitat del condensador amb aire entre les seves plaques, S és la superfície de cada placa, d és la distancia entre plaques i ε0 és la permitivitat de l’aire. Es considera que la càrrega elèctrica es distribueix homogèniament per la superfície dels conductors de manera que σ0 és la densitat de càrrega elèctrica calculada com el quocient entre la càrrega total Q i la superfície S en la que es distribueix. ΔV és la diferència de potencial elèctric entre les plaques del condensador.
L’equació anterior s’obté considerant menyspreables els efectes d’acumulació de càrrega a les vores dels conductors (efecte vora). És a dir, en el cas d’un condensador pla paral·lel real el valor de la capacitat que s’obté amb la fórmula no és rigorosament exacte, però com més petita sigui la distància de separació entre els plans en relació amb les seves dimensions el valor de la capacitat elèctrica obtinguda serà més precís.
Si entre les plaques d’un condensador es col·loca un material dielèctric lineal homogeni, la capacitat del condensador es multiplica per un factor εκ (constant dielèctrica), que depèn exclusivament del material. En el cas del condensador pla paral·lel es té:

Realització
El camí que proposo per arribar a trobar el valor de la permitivitat elèctrica a l’aire és fer-lo com indica el professor Salvador Gil al seu Proyecto 88. Condensador de placas planas paralelas. Variación de la capacidad con la geometría (pag 348) del capítol 30 en la part 3 del llibre Experimentos de Física de bajo costo usando TICs.
S’ha de construir un condensador amb dues làmines metàl·liques o bé amb dues planxes no metàl·liques però folrades amb paper d’alumini, de les mateixes dimensions i col·locada una sobre l’altra. Per aconseguir que no hi hagi contacte entre les plaques es fiquen quadradets de paper o de plàstic en les quatre cantonades. També s’ha de connectar un cable conductor a cadascuna de les plaques enganxant-lo amb cinta adhesiva.

En funció de la quantitat de paperets que es fiquin entre les plaques la distància entre elles serà més o menys gran. En el meu cas he ficar 30 papers en cada cantonada, el que suposa una separació d de 3,09 mm.
En mesurant 64 paperets amb un peu de rei surt un gruix de 6,6 mm, el que correspon a 0,10 mm de gruix per unitat, per tant 30 unitats són 3,09 mm.
Les superfícies del meu condensador són de 21,0 x 21,0 cm = 441 cm2. Menysprearem l’efecte vora i el fet de tenir en les cantonades quadradets de paper que tenen una permitivitat una mica més gran que la de l’aire.
Salvador Gil proposa que el condensador es connecti a un capacímetre comercial igual que la majoria dels protocols de pràctiques, que a més també contemplen l’ús de condensadors comercials, com per exemple la Práctica de Laboratorio A: Condesadores y capacidad. Dieléctricos: medida de la constante dieléctrica de la Universitat Politècnica de Catalunya.

Jo, però, he fet les mesures de capacitat connectant els cables de les plaques a un Arduino, com explico més endavant en aquesta mateixa entrada. El resultat ha estat de C = 116 pF. Per tant. la permitivitat surt

El que suposa un error relatiu en relació a l’establert oficialment (8,854·10-12) de:

La qual cosa, per ser el resultat d’una única prova, no està malament del tot.
Es pot repetir la mesura per a diferents separacions entre plaques només variant la quantitat de papers o de bocinets de plàstic que les separen. Les dades obtingudes de capacitat versus distancia de separació es poden representar gràficament i obtenir la pendent de la recta que surt, per a després calcular el valor de la permitivitat.
També es pot intercalar un mitjà homogeni completament entre les superfícies conductores, com pot ser paper o una làmina de plàstic de diferents gruixos i trobar el valor de la permitivitat d’aquests medis.
Mesura de la capacitat amb Arduino
Els valors acceptables que s’aconsegueixen són gràcies a que la forma en la que s’ha mesurat la capacitat és prou bona, malgrat la seva senzillesa. Com he dit, al mercat es troben multímetres digitals amb mesurador de capacitàncies, però la gran majoria no permeten mesurar capacitats molt petites (per exemple de 10 pF) sense mostrar un error molt gran. Això és perquè la majoria dels polímetres amb capacímetre tenen una escala que baixa (amb precisió) com a molt al nanofaradi (nF), i a més s’ha de sumar el problema de l’augment de capacitat per les puntes del multímetre.
El cas és que les persones de Electgpl han implementat un projecte de baix cost (el que costa un Arduino, uns 10 € en el mercat de proximitat) que ens permetrà mesurar d’1 pF a 1000 pF amb un error molt petit.
El circuit és molt senzill i no necessita cap component extern més que el propi condensador i la placa Arduino connectada a un ordinador. S’ha de procurar que els connectors de les plaques del condensador siguin prou curts per eliminar el més possible el seu efecte en la mesura.
Aquest capacímetre Arduino basa tot el seu funcionament en el codi del projecte que aprofita les característiques del microcontrolador. Bàsicament, el que fa la placa Arduino és carregar i descarregar el condensador i mesurar el temps que triga en fer-lo, el que està directament relacionat amb la seva capacitat.
El projecte Arduino
Com es veu en la fotografia de sota, el que s’ha de fer es connectar una de les plaques del condensador al pin A0 de l’Arduino i l’altra placa al pin A4. És indiferent quin a quin ja que el condensador pla és simètric i no té polaritat com els electrolítics.

El projecte funciona amb l’Arduino UNO, però també amb altres tipus de microprocesador, encara que obtindríem petites diferències de valor degut a la seva diferent configuració interna.
Es connecta l’Arduino a un ordinador a través del cable USB i Windows 10 reconeix automàticament el dispositiu i l’assigna un port sèrie de comunicació. A continuació bé s’obre l’IDE d’Arduino i s’enganxa el codi de sota o es baixa l’arxiu Capacitor_pF.ino i es llança.
No s’ha d’incloure cap llibreria ni s’ha d’instal·lar cap tarja ja que Arduino UNO ja està incorporat a l’IDE per defecte. Si no està instal·lat l’IDE d’Arduino a l’ordinador es baixa prèviament.
//Capacitor para picofaradios (pF)
//Creado por Electgpl
//http://electgpl.blogspot.com/2018/02/pico-capacimetro-con-arduino-y-display.html
//Conectar una pata del condensador al pin A0 y la otra al pin A4
//y ver el resultado por el puerto serie
const int OUT_PIN = A4;
const int IN_PIN = A0;
long int acumulado=0;
long int actualizado=0;
void setup(){
Serial.begin(9600);
pinMode(OUT_PIN, OUTPUT);
pinMode(IN_PIN, OUTPUT);
}
void loop(){
for(int i=0; i<100; i++){
pinMode(IN_PIN, INPUT);
digitalWrite(OUT_PIN, HIGH);
int val = analogRead(IN_PIN);
digitalWrite(OUT_PIN, LOW);
pinMode(IN_PIN, OUTPUT);
float capacitancia = (float)val * 24.5 / (float)(1023 - val);
acumulado = capacitancia + acumulado;
}
actualizado = acumulado/100;
acumulado=0;
Serial.print("Valor en pF: ");
Serial.println(actualizado);
delay(100);
}
A herramientas de l’IDE s’ha de comprovar que està seleccionada la placa Arduino UNO i que el port és l’adequat. Ja no queda més que carregar el codi del projecte en la placa prement el botó amb la fletxa cap a la dreta.
Com en el projecte s’ha indicat a la placa que el port sèrie vagi a 9600 baudis, quan es llanci el Monitor Sèrie (botó amb una lupa a dalt a la dreta de l’IDE) s’ha de seleccionar aquesta velocitat. El resultat és el que es veu en la captura de pantalla de sota.



