La transmissió del so en una campana de buit

Recentment, en la visita a un famós museu de ciència, vaig assistir a un taller de física en el que es feien experiments clàssics, com ara el del timbre dins una campana de buit per tal de mostrar que el so no es transmet en el buit.

El conductor del taller fica un timbre elèctric dins una campana de buit connectada a una bomba que extreu l’aire del seu interior. El timbre se sent dins la campana una mica més fluix que fora, però se sent bé. A continuació engega la bomba de buit, que fa un soroll considerable i es deixa de sentir el timbre. Quan la pressió en l’interior de la campana disminueix a unes dècimes d’atmosfera, s’apaga la bomba i no es sent el timbre en absolut.

És un experiment clàssic que es pot trobar filmat en diferents vídeos en youtube. Com exemple aquí sota insereixo el vídeo Loudspeaker in a Bell Jar de la Universitat de Sant Andrews.

 

Tant en aquest cas, com en la visita al museu, com en la immensa majoria d’explicacions en vídeo o en directe, s’afirma que en fer-se el buit es deixa de sentir el soroll (malgrat que la campaneta continua copejant -es veu com ho fa- o malgrat l’altaveu continua sonant) perquè el so és una ona mecànica que necessita un mitjà material per escampar-se, en aquest cas l’aire, i que quan li manca, quan no hi ha aire, en el buit, no pot desplaçar-se, a diferencia de la llum, que és una ona electromagnètica i es pot moure en el buit.

L’explicació és senzilla i convincent (gaire bé tothom l’explica així!), però malauradament molt parcial.

És veritat que el so no pot desplaçar-se en el buit, però una pressió de 0,001 atmosferes és suficient buit per al so?. En un buit imperfecte real com el que pot aconseguir una bomba de buit estàndard de laboratori hi haurà propagació sonora a la mateixa velocitat que en l’aire que respirem. Encara que la pressió sigui baixa, el recorregut mitjà de les molècules d’aire és molt petit, molt més petit que la grandària del recipient, i en aquestes condicions el so viatja amb pocs problemes. La velocitat del so a l’aire és proporcional a l’arrel quadrada de la pressió dividida per la densitat de l’aire en el que es mou, però si disminueix la pressió, ho fa amb la mateixa proporció la densitat, i per tant…..

Ara us animo que torneu a mirar el vídeo i a escoltar què passa quan es deixa entrar una altra vegada l’aire dins la campana i ja no hi és el soroll de la bomba. El manòmetre no ha arribat ni de lluny a zero i no se sent res, i quan s’obre la clau i entra l’aire poc a poc, comença a sentir-se el so i cada vegada més fort. Com és possible que no sentim res encara que no s’hagi fet el buit, i perquè deu ser que augmenta el soroll amb la quantitat d’aire?.

L’explicació s’ha de buscar per un altre camí, la via que te a veure amb la refracció i la reflexió del so en les parets del recipient. D’entrada, quan es col·loca la campana a sobre de l’altaveu ja disminueix el volum que es sent, el que vol dir que la campana te un efecte important en el fenomen.

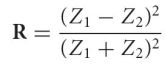
Les ones de so que arriben a les parets de la campana es poden transmetre o bé reflectit, i resulta que la proporció de so que es transmet o es reflecteix ve determinada per les densitats relatives de l’aire contingut i les parets de la cambra. Una propietat de l’aire molt determinant per explicar l’augment o disminució de la transmissió del so a través de les parets és la impedància acústica Z, que ve determinada pel producte de la densitat del medi i la velocitat de propagació en ell, i es mesura en Rayls (Pa·s/m).

Resulta que el factor de reflexió ve donat per Impedancia acustica, on Z1 i Z2 corresponen a les impedàncies de cadascú del medis, amb la qual cosa en disminuir la densitat de l’aire, disminueix la seva impedància i augmenta la diferencia amb la impedància del vidre, fent-se cada vegada més gran la proporció de so que és reflectida per les parets de la campana i no surt a l’exterior, com expliquen en el manual de les demostracions de laboratori els professors de Física i Astronomia de la Universitat de UCLA.

D’aquesta manera és suficient que la densitat (i la pressió) de l’aire disminueixi a una dècima part per a que la proporció del so transmet a través de les parets de la campana sigui inaudible per al públic de l’experiment.


Si us ve de gust, també podeu estudiar una mica d’acústica en el Tema 2.4 Propiedades acústicas del professor Francisco Blanco Alvarez de l’Escola de Mines de la Universitat d’Oviedo


 

Hi ha 2 comentaris

Deixa un comentari

Aquest lloc utilitza Akismet per reduir els comentaris brossa. Apreneu com es processen les dades dels comentaris.