L’aplicació ha estat realitzada per R. Wisman i K. Forinash, professors d’informàtica i de física en la universitat de Indiana (USA). És una app magnífica que permet enregistrar l’entrada de so i mesurar temps, i és per aquesta possibilitat de mesurar el temps entre dos sons per la qual cosa utilitzarem l’app AudioTime+ en aquesta experiència del càlcul del coeficient de restitució en un xoc. El disseny de l’app està pensat per a ser utilitzada en una tauleta o un telèfon mòbil gran.
També han realitzat altres aplicacions per a la recollida de dades experimentals per android i per iOS, algunes autònomes com aquesta Audiotime+ i altres que necessiten conjuntament de les aplicacions de l’empresa Vieyra Software per a portar a terme la seva funció.
Paral·lelament, Kyle Forinash ha elaborat una sèrie de propostes experimentals en el camp de la física molt interessants i traduïdes al castellà. Tot el que publiquen ho fan amb llicència Creative Commons i modificable. Una d’aquestes propostes és la que afusello i en la que es basa aquesta entrada que faig al bloc.
Realització
Mesurarem el coeficient de restitució (e) del xoc d’una canica al terra de la classe. Per això, deixarem caure la canica des d’una altura qualsevol i gravarem amb l’aplicació AudioTime+ els sorolls que fa en rebotar contra el terra. Després mesurarem el temps entre dos xocs successius i calcularem el coeficient.
S’inicia l’app AudioTime+ i es prem el botó + per a començar a gravar. Es deixa caure la canica i que reboti almenys dues vegades. A continuació s’atura l’enregistrament prement el botó pausa.

Apareixerà una gràfica com la de dalt on es veuen les pertorbacions sonores produïdes per els successius xocs al terra de la canica. S’han de marcar en la pantalla dos moments successius en els que s’inicia el soroll del xoc. Això es pot fer de dues maneres:
- Es pitja amb el dit en el dos punts que es consideri. Si un s’equivoca es pot moure la posició prement i arrossegant la marca amb el dit. Si les senyals estan juntes, prèviament es poden separar/ampliar prement i separant amb dos dits a la pantalla.
- Si es prem el botó Δ es col·locarà una línia en el primer bot, el que té la senyal més forta, en la part més alta del senyal. Si es veuen en pantalla varis rebots, s’han d’ampliar les senyals utilitzant dos dits fins que només siguin visibles dos xocs a la pantalla. A continuació es torna a prémer el botó Δ una altra vegada i es col·locarà una segona línia en el segon cim.
En qualsevol dels dos casos, apareix el valor del temps entre les dues senyals a la part inferior dreta de la pantalla. Aquest temps li direm ta.

Per tornar a veure tot el que hem gravat s’ha de pitjar el botó ampliar. Si ara es fa un doble toc a la pantalla eliminarem les dues línies grogues de la primera mesura. Podem repetiu els passos d’abans per trobar el temps entre el segon i el tercer rebot. Aquest nou temps és tb. A continuació podem seguir el procés amb tc, td, etc.
Ara ja es pot trobar el coeficient de restitució dividint el temps segon pel primer:

Observacions
El coeficient de restitució (e) per a un material es defineix com la relació de la velocitat d’un objecte abans i després d’una col·lisió amb una superfície dura: e = Vabans/Vdesprés.
Si la col·lisió és perfectament elàstica, és a dir, si es conserva l’energia en el xoc, les dues velocitats tindran el mateix mòdul i el e = 1. Si el xoc és perfectament inelàstic, es a dir, si l’objecte s’enganxa a la superfície després de la col·lisió, el e = 0. El coeficient de restitució (e), doncs, és pot determinar pel rebot sobre una superfície dura de l’objecte del material que es vol estudiar.
Les pilotes de golf solen tenir un e = 0,78, les pilotes de bàsquet tenen un e = 0,81-0,85 i les pilotes de tennis tenen un e = 0,89-0,91. El coeficient de restitució d’altres objectes com raquetes de tennis i pals de golf es pot determinar pel rebot d’una esfera dura sobre ells. Així, les raquetes de tennis tenen un e d’aproximadament 0,85 i els pals de golf de 0,83.
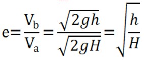
Mesurar directament la velocitat de les pilotes abans i després de botar és molt complicat. Més fàcil és fer el càlcul a partir del temps entre rebots, com ho hem fet. Una manera alternativa per a calcular el coeficient de restitució consisteix en determinar l’altura H des de la que es deixa caure l’objecte i l’altura h a la que hi arriba en rebotar. El coeficient de restitució en aquest cas ve donat per:


En el diagrama de dalt, que representa com la canica va botant i rebotant, Va és la velocitat després del primer bot, Vb és la velocitat després del segon bot, H=Ya és l’altura del primer bot i h=Yb és l’altura del segon bot. Si menyspreem la resistència de l’aire, Va és també la velocitat de la pilota just abans del segon bot. El primer rebot triga un temps ta i el segon rebot triga un temps tb.
En el cas de calcular-lo en funció del temps, tenim que el coeficient de restitució és:
En el cas de de calcular-lo en funció de l’altura, tenim que el coeficient de restitució és:

Per aprofundir en com arribar a aquestes equacions i utilitzar simulacions en java podeu estudiar la pàgina Caída libre y sucesivos rebotes del clàssic Física con ordenador de Angel Franco
L’obtenció del coeficient de restitució a les aules de secundària no és una novetat. Ja fèiem el mateix que he explicat aquí amb un ordinador, un micròfon i el programa Audacity. També, els que teníem la sort de disposar del Multilab i el sensor de distància l’havíem fet seguint el protocol del CDEC Energia dissipada en el bot d’una pilota amb l’ajut del manual pel professorat, que calcula el coeficient a partir de les successives altures aconseguides per la pilota.
Una altra manera per obtenir-hi les dades passa per gravar els bots de la pilota en vídeo amb un telèfon (o amb una càmera fotogràfica, o una càmera web, o una videocàmera) i estudiar-los després amb el magnífic programa Tracker, de punteig i anàlisi de vídeo, amb el que podem mesurar temps i altures. També ens serveix per a mesurar temps el programa VLC Media Player.
L’aplicació AudioTime+ que hem utilitzat per calcular el coeficient de restitució es pot usar per fer molts d’altres d’experiments sobre el so, la dinàmica, la llum i la termodinàmica, però concretant en el camp de la mecànica, que és el cas del nostre exemple, podem estudiar també:
- La caiguda lliure d’un objecte que estigui inicialment penjat d’un fil. Es mesura el temps que passa entre el clic de les tisores en tallar el fil i el clonc de l’objecte en xocar amb el terra.
- La caiguda lliure d’un conjunt de cargols enganxats entre si per un fil, bé guardant distàncies iguals o bé distàncies que segueixen una funció quadràtica. Es registra la successió de xocs contra el terra i l’estudia el temps entre cops.
- Es deixa caure una bola per un rail en U en el que s’han enganxat bocinets de cartolina a intervals regulars. S’estudia la relació entre el temps entre els xocs i la distància recorreguda.
- De forma similar es pot estudiar com gira una rodeta que, cada volta copeja una cartolina. Per exemple, pot ser la politja d’una màquina d’Atwood.
