Els llegums són cultius anuals que produeixen beines dins les quals es poden trobar entre un (cigrons) o dos (llenties) i dotze grans o llavors de mida, forma i color variables, que s’utilitzen per a aliment i farratge. Quan parlem de llegums ho fem de cultius destinats de manera exclusiva a gra sec, pel que queden exclosos els que es cullen verds per a aliment, que se’ls hi diu hortalisses, així com els utilitzats principalment per a l’extracció d’oli i els que s’utilitzen exclusivament per a fins de sembra.
Aquest cultius lleguminosos com les llenties, els fesols, els pèsols o els cigrons tenen gran importància ja que són un element fonamental de la cistella d’aliments. Els llegums són una font essencial de proteïnes i aminoàcids d’origen vegetal per a la població de tot el món, i s’han de consumir com a part d’una dieta saludable per combatre l’obesitat i prevenir i ajudar a controlar malalties com la diabetis, les afeccions coronàries i el càncer; també són una important font de proteïna d’origen vegetal per als animals.
Si ens fixem en la taula de sota podem apreciar que el contingut proteínic dels llegums és equiparable al de la carn.
A més, les plantes lleguminoses tenen la propietat de fixar el nitrogen atmosfèric, el que pot contribuir a augmentar la fertilitat del sòl.
Amb els objectius de sensibilitzar l’opinió pública sobre els avantatges nutricionals d’aquestes llavors com a part d’una producció d’aliments sostenible, fomentar connexions al llarg de tota la cadena alimentària per aprofitar millor les proteïnes derivades dels llegums, incrementar la seva producció mundial, utilitzar de manera més apropiada la rotació de cultius i fer front als reptes que hi ha al comerç d’aquest aliment, el 20 de desembre de 2013 l’Assemblea General de les Nacions Unides va aprovar la resolució que declara 2016 com l’Any Internacional dels llavors.
Encara que l’ONU no menciona la relació dels llegums amb altres aspectes científics més enllà de la seva importància en l’alimentació i en la fixació de nitrogen al sòl, aprofitaré esdeveniment per usar els llegums com a font d’inspiració per a la realització d’experiments científics.
Física amb llegums
Els experiments més interessants són els que es poden realitzar amb un conjunt de llavors, no amb llavors individuals, ja que d’aquesta manera es poden considerar matèria granular. La matèria granular o granulada és aquella que està formada per un conjunt de partícules macroscòpiques sòlides prou grans perquè l’única força d’interacció entre elles sigui la de fricció.

Aquest tipus de materials presenten propietats que poden semblar les de l’estat sòlid, l’estat líquid o les del gasós, depenent del tipus i la magnitut de les forces a les quals estiguin sotmesos. Una característica important és que la matèria granular tendeix a dissipar ràpidament l’energia de les seves partícules a causa de la força de fricció. Això dóna lloc a fenòmens de gran importància com els allaus, els embussos en descàrregues de sitges, entre altres. Com a exemples de materials granulars, que són els materials més utilitzats per l’home només després de l’aigua, es troben els grans i llavors, la neu, la sorra, etc.
La importància de conèixer el comportament dels materials granulars es manifesta en un augment creixent del seu estudi i en la publicació de diferents llibres al respecte, però no en l’accés fàcil en la xarxa a informació suficient per a entendre el seu comportament. Pot ser en aquest cas la millor informació per iniciar-se sigui la que aporta Wikipedia, però si voleu aprofundir més i adonar-vos de la dificultat de l’estudi de la matèria granular podeu consultar algun llibre com el d’Aste, T, Di Matteo, T. i Tordesillas, A. Granular and complex materials, 2007, World Scientific, o el de Mester, L., 2009, The new physical-mechanical theory of granular materials, o la introducció d’alguna tesi doctoral com la d’Ignazio Cavarretta, The infuence of particle characteristics on the engineering behaviour of granular materials, de 2009 en la Universitat de Londres.
Els llegums fan piràmides
Quan un conjunt de partícules s’emmagatzemen, sense altra estructura que les sostingui excepte el sòl, les forces de fricció estàtica entre elles obliguen aquest conjunt a formar una estructura cònica.
Si sobre un paper es vesa una quantitat d’alguna de les diferents llegums en gra o en pols, quedarà en forma de piràmide amb un angle de repòs particular. Es pot mesurar aquest angle amb un transportador per a diferents llegums.
Una altra possibilitat de mesurar l’angle de repòs és posar una capa de llegums en una safata gran i anar inclinant-la fins que les llegums comencin a lliscar (un allau).

Els llegums flueixen com els líquids?
He comentat que la matèria granular pot comportar-se en determinades circumstàncies com a un líquid, però les llegums flueixen com un líquid newtonià, com l’aigua?. Podem provar-lo amb algunes experiències.
Fluïdesa.
S’aboca un pot amb llegums sobre un altre recipient i flueixen però, com hem vist abans, no s’escampen les llavors per tot el recipient de sota, com ho faria l’aigua, sinó que queden agrupades format un turonet. El fregament entre partícules dissipa ràpidament l’energia cinètica que es comunica a les llegums en vesar-les i queden aturades en la muntanyeta.
Com ha de ser de gran el forat de sortida?
Si es deixen caure llegums contingudes en ampolles de plàstic de diferent grandària de boca o si s’aboquen llegums sobre embuts de diferent mida es pot comprovar si s’atura el flux de caiguda pel forat, i en quins casos.
Ja sabem que en el cas dels líquids com l’aigua cauen pels forats per acció de la gravetat sempre que el forat no sigui prou petit per a que la tensió superficial equilibri la força que fa la pressió del líquid sobre la superfície del forat i s’aturi el fluix. Podeu veure al respecte l’entrada de Tavi Casellas sobre Un tap foradat.
En el cas de els llegums no hi ha tensió superficial, però si fregament entre els grans i pot passar i passa que es formin embussos de partícules en l’orifici de sortida. Quan el forat té un diàmetre prou petit, encara que sigui més gran que el dels grans, el material s’hi encalla formant un arc i s’interromp el flux. Com que els arcs tenen una gran estabilitat l’única forma de restablir el flux és trencar l’arc, per exemple, movent els llegums amb un palet per sota del forat.
Es pot intentar, doncs, comprovar la dependència dels embussaments amb el diàmetre del forat i la grandària del gra. S’ha comprovat experimentalment que quan es treballa amb grans esfèrics (algunes mongetes quasi ho són) les interrupcions en les descàrregues de es produeixen quan l’orifici de sortida té un diàmetre menor a aproximadament 4,5 vegades el diàmetre de les partícules. Si és més gran els llegums flueixen sense problemes.
Ara bé, què passa si els grans no són esfèrics, com en el cas de les llenties?. Aquí el diàmetre del forat al qual no es presenten embussos pot ser diferent i podem estudiar si la grandària d’un gra esfèric com el cigró o alguna mongeta, es pot mesurar amb al diàmetre, o la d’un esferoide oblat com la llentia, o d’un esferoide prolat com la mongeta allargada te més a veure amb la mida de la part més estreta, i si en qualsevol cas es manté la relació de 4,5 a 1 com a frontera per a que es produeixin embussos o no.
Amb quina velocitat flueixen els llegums?
Suposem que el forat pel que cauen les llegums és prou gran per a que flueixin sense embussar-se, però… amb quina velocitat surten?.
Quan es fica un líquid en un contenidor resulta que la pressió al fons del recipient augmenta amb l’altura fins a la qual s’omple. La pressió hidrostàtica en el fons del recipient es pot calcular a través de la llei de Stevin (paradoxa hidrostàtica) de la següent manera:
P = ρ·g·h
on P és la pressió hidrostàtica, ρ és la densitat del fluid, g és el valor de l’acceleració de la gravetat i h és l’altura de la columna de fluid.
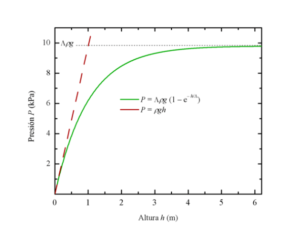
En el cas de la matèria granular, si funcionés exactament com un líquid, s’esperaria que en omplir de grans una sitja la pressió al fons s’incrementés de la mateixa manera que ocorre per als fluids newtonians. Resulta, però, que els materials granulars deixen d’incrementar la pressió sobre el fons del seu contenidor cilíndric una vegada que s’aconsegueix una certa alçada. L’enginyer alemà H. A. Janssen va descobrir que la pressió sobre les parets d’un contenidor que alberga un material granular segueix la següent relació.

On Λ és un paràmetre que depèn de la fricció estàtica entre les parets de la sitja i els grans i el seu valor sol ser de la magnitud del radi del contenidor. El gràfic de sota dibuixa l’equació en un cas particular. En verd està representada la pressió en el fons d’un recipient de 2 m de diàmetre ( m), que conté un material granular de densitat 1000 kg/m³, en funció de l’altura a la que s’omple. La línia vermella representa la pressió que exerciria un fluid newtonià, com l’aigua, en funció de l’altura i la línia puntejada blava representa la màxima pressió que pot arribar a exercir el material.
Fixeu-vos que a partir d’una altura del gra de dos diàmetres la pressió en el fons del recipient es manté constant.

L’explicació d’aquest comportament conegut com a efecte Janssen està en la manera com es transmeten els esforços entre els grans: depenent de la manera com es distribueixen les partícules, les cadenes d’esforços tendeixen a dirigir la força produïda pel pes del material cap a les parets del contenidor. Per aquesta raó no hi ha una distribució homogènia de la força en sentit horitzontal i vertical, de manera que les parets del recipient suporten més esforços que el fons.
De l’efecte Janssen es dedueix que la velocitat de sortida de les llegums per un forat en la base d’un recipient, quan l’alçada del material és més gran que dos diàmetres, ha de ser amb una velocitat constant de:
![]()
A diferència de la velocitat de sortida de l’aigua per un forat en el fons d’un recipient, que és
![]()
Podeu comprovar a simple vista aquesta conclusió omplint una botella de llenties i deixant-les caure. Precisament en la base del funcionament dels rellotges de sorra (matèria granular per excel·lència) està aquest efecte janssen, com explico per al cas de les llenties en la reunió de Divulgadores DDD que es va celebrar a Córdoba al novembre de 2016.
Es pot mesurar quantitativament la velocitat de sortida d’un material granular per un forat en el fons d’un recipient, gravant el moviment i analitzant-lo amb un programa d’ordinador com el extraordinari Tracker. Quan s’analitza quantitativament la caiguda de llenties pel forat d’una ampolla de gasosa surt un moviment pràcticament uniforme, lleugeríssimament desaccelerat, tot el contrari del cas de l’aigua, on el moviment de buidat és manifestament desaccelerat.
![]()
L. Ferreyra, J. Flores y G. Solovey de la Universitat de Buenos Aires en 2000 van estudiar com era la velocitat de sortida de sorra d’un recipient suspès d’una molla que oscil·la, en l’article Estudio y aplicación de medios granulares – Oscilador de Masa Variable, per a Física recreativa, el que ens pot donar una altra idea per a mesurar la velocitat de flux de llegums per un forat.
Principi d’Arquímedes amb llegums
Es necessita un recipient ple de cigrons, mongetes o llenties (no cuits), una bola d’acer una mica gran (si pot ser d’uns 3 cm de diàmetre) i una pilota de ping-pong. S’enfonsa la pilota de tennis de taula a dos o tres centímetres de profunditat entre els llegums sense que el públic la vegi i es col·loca la bola d’acer a la superfície sobre de els llegums.

Si ara es sacseja el recipient horitzontalment amb les mans durant uns segons és veu que la bola d’acer s’enfonsa, desapareix, i poc després torna a aparèixer flotant a la superfície convertida en una pilota de tennis.

La bola d’acer és més densa que els llegums mentre que la pilota de tennis de taula és menys densa. Quan el conjunt pateix vibracions horitzontals les llavors se separen unes d’altres i aquesta matèria granular pren un comportament fluid que recorda al dels líquids. Per això la bola més densa s’enfonsa i l’altra puja a dalt. Podeu veure l’experiment en els vídeos de Laureà Huguet i d’fq-Experimentos.
Efecte de les nous de brasil
Per realitzar l’experiment es necessita un recipient cilíndric amb tap, llegums seques fins a ¾ del recipient i una bola de més volum i d’igual o superior densitat que les llegums. Per exemple, un tubet de plàstic amb tap, una boleta d’acer i llenties (si no estiguéssim en l’Any internacional de les llegums el faríem amb sal, que es veu millor, o amb arròs, comptes de plàstic, etc)).
S’omple una quarta part del tubet de plàstic amb llenties, es deixa caure la boleta d’acer sobre les llenties i es cobreix la boleta amb més llenties sense omplir tot el tubet i es tapa. Si es sacseja verticalment el tubet de plàstic la boleta de metall no baixa sinó que ascendeix i acaba sobre les llenties. També funciona si la bola es fica inicialment a baix del tot (o a dalt i es capgira el tub) però triga més en començar a pujar.

Aquest fenomen sembla anar en contra de les lleis de la física. La boleta de metall és una mica més gran i més pesada que les llavors de llentia i s’esperaria que, al sacsejar verticalment el tubet de plàstic, la boleta descendís, com ho fa quan es sacseja horitzontalment.
L’explicació científica ha de tenir en compte diversos aspectes, però una explicació senzilla fora que en sacsejar verticalment el tubet de plàstic la boleta de metall genera un buit sota d’ella que és ocupat per les llavors. En ficar-se les llavors a sota impedeixen que la boleta recuperi el seu lloc original i es genera un moviment ascendent. Per a més explicació mireu els apartats sobre convecció i segregació granular de l’article sobre matèria granular de wikipèdia.
Aquest comportament és típic dels sòlids granulars i va ser denominat efecte de les nous de brasil a causa que en una barreja de cereals i fruits secs, les nous de brasil i els trossos de fruita que solen tenir el volum més gran ocupen la part superior després de sacsejar el recipient en el que es troben. Podeu veure el vídeo de fq-Experimentos.
El fenomen succeeix més fàcilment si el recipient sempre te la mateixa secció o si és més estret per dalt, ja que la circulació dels sòlids granulars amb vibració vertical en recipients més amples a dalt que a baix és descendent pel centre i ascendent per les parets, encara que amb matisos (mireu el treball Movimiento de convección en un medio granular agitado verticalmente, d’Iker Zuriguel de la Universitat de Navarra
Flotació inversa: l’efecte contrari a les nous del brasil
No sempre es dona l’efecte de les nous del brasil quan es fa vibrar verticalment un recipient amb una mescla de materials granulars, com es pot veure en el primer vídeo de l’entrada Focus: Antigravity in a Sandbox de la web Physics de l’American Physical Society.
Christof A. Kruelle, professor d’Enginyeria Mecànica de les universitats de Bayreuth i Karlsruhe en Alemania que es dedica a l’estudi del comportament de la matèria granular, en la seva publicació Physics of granular matter: Pattern formation and applications mostra que el que es doni o no l’efecte de les nous del Brasil depèn de la relació entre volums i entre masses de les partícules de la mescla de materials granulars que es trobin sotmesos a vibració vertical, com recull la gràfica de sota, copiada del seu treball:

En el gràfic es veu com s’inverteix l’efecte clàssic de les nous del brasil en funció de les propietats de les partícules que intervenen. Cada símbol petit representa cadascun dels 178 experiments que va fer l’autor del treball. La línia contínua que separa les dues zones en les que es produeix, o no, l’efecte ve donada per l’equació:

On d i m són els diàmetres i les masses dels dos tipus de partícules involucrades . Els subíndex venen, l de large, partícules grans, i s d’small, petites. D son les dimensions en les que es realitza el moviment.
L’equació indica que si es treballa en 3D i la relació de diàmetres és més gran que l’arrel quadrada de la relació de masses, la barreja de partícules ha de mostrar l’efecte de les nous de Brasil i viceversa. Així els símbols grans indiquen la predicció d’unes simulacions de dinàmica molecular en 3D realitzades amb un màxim de 3600 partícules.
Pot ser seria una proposta interessant per un alumne de batxillerat la replicació d’aquest estudi o d’altres relacionats amb la convecció i segregació granular i la validació, o no, dels resultats.
El volum i la densitat dels llegums
De tots és conegut que quan s’omple un pot amb llegums (o arròs, cafè, etc) fins a dalt del tot i encara sobra una mica, si es sacseja i/o copeja el pot contra la taula es fa lloc i es poden afegir-hi unes quantes llegums més. Podrien dir, doncs, que el volum (i la densitat) de els llegums és variable.
Ara bé, la fracció del volum ocupat pels llegums no pot arribar al 100%. Els llegums es poden compactar per vibració horitzontal i/o vertical fins a un màxim del 0,74 que correspondria a esferes col·locades en forma hexagonal, però lo normal és que per vibració com a molt arribi al 0,64.
Per a comprovar aquestes afirmacions podem ficar llenties en un pot transparent i fixar-nos que es distribueixen de forma aleatòria. Si a continuació es copeja el cul del pot contra la taula es veurà com va disminuint el volum de les llavors mentre les llenties es van ordenant col·locant-se unes paral·leles a les altres.
Per a mesurar la fracció de volum ocupada per les llenties i per l’aire entre elles es por fer omplint els forats d’aire amb aigua i mesurar el canvi de pes produït o ficant l’aigua mesurada d’una proveta, per exemple, però les mesures s’han de fer ràpid ja que les llenties de seguida comencen a hidratar-se i són elles mateixes les que canvien de volum.
Precisament perquè hi ha espai buit entre les llavors dels llegums quan barregem diferents llegums en un mateix recipient els volums no són additius, ja que els grans més petits ocupen part de l’espai buit dels llavors grans. Passa com en el cas de la barreja de líquids miscibles, però aquí la disminució de volum és més gran i, a més, es veu el fenomen a simple vista si el feu amb provetes que són transparents.
Un altre cas molt curiós dels materials granulars és el fenomen de la dilatància, que consisteix en que els materials granulars pateixen una disminució en la seva fracció de volum quan estan subjectes a una pressió. El fenomen va ser descrit per primera vegada per Reynolds (el del número de Reynols) fa molts anys, però segut que vosaltres ja l’heu experimentat també fa molts anys. No recordeu caminar per la platja, per la sorra mullada, i que en el moment que la trepitgeu es seca?, doncs això és el fenomen de la dilatància.
L’experiment, que funciona amb sorra, consisteix en omplir una ampolla de plàstic amb llegums, afegir aigua fins dalt, roscar un tap al que se li ha fet un forat pel que s’ha introduït un tubet transparent, i acabar de ficar aigua en el tub fins una certa alçada. A continuació es comprimeix una mica la botella i es mira si l’aigua puja o baixa pel tub. A mi, amb llegums, sempre me puja l’aigua.
El pal atrapat en els llegums
Quan es compacten els llegums les forces entre les seves partícules i contra les parets són cada vegada més grans. Si prèviament a la compactació s’introdueix un pal dins el pot entre els llegums també es veurà sotmès a la compressió i podria arribar un moment que fora possible estirar del pal cap amunt i que el pot s’enlairés.
He de dir que aquest experiment no m’ha funcionat mai amb cap tipus de llegums, encara que si amb sorra i sobre tot amb arròs. En els vídeos de fQ-Experimentos teniu tant el cas de la sorra com de l’arròs.
Llenties flotadores
Com es veu en la taula de sota, els grans de les llegums tenen densitats entre 1300 i 1500 kg/m3, es a dir, lleugerament superiors a la de l’aigua, el que fa que gràcies a la tensió superficial o alguna altra ajudeta puguin flotar en l’aigua.

L’experiència clàssica que us proposo es estudiar el moviment de diverses llegums en ficar-les en un vas amb gasosa. Veure si totes es comporten igual en la gasosa, si totes baixen i pugen o si el moviment d’ascens i descens només el fan algunes, com les llenties.
Per fer-lo s’aboca la gasosa en un got de precipitats, que queda més químic, encara que el de la foto no ho sigui, i introduïm les llegums. La majoria de les llenties, per exemple, cauen inicialment al fons del vas però al cap d’un temps s’aprecien unes bombolletes al seu voltant, aleshores les llenties ascendeixen per tornar a caure, després tornen a pujar i a caure i així successivament. El mateix passa amb els cigrons?
El que passa és que la gasosa desprèn un gas, el diòxid de carboni, que s’adhereix a la superfície de les llenties a manera de flotador i fan que aquestes pugin a la superfície. Quan arriben a la superfície les bombolletes de diòxid de carboni exploten en contacte amb l’aire i les llenties, desproveïdes dels seus flotadors, cauen, fins que de nou s’adhereixen a elles altres bombolletes de diòxid de carboni i ascendeixen.
En lloc de gasosa ja feta, es pot preparar amb aigua i un sobre per a fer aigua de litines, gasosa o soda tipus “El tigre”, el que també te el seu interès químic.
Altres ciències i les llegums
A més de la Física hi ha d’altres ciències i els llegums també s’avenen a l’experimentació amb elles. Per exemple:
Reproducció i desenvolupament embrionari en llegums
En la passada edició de la fira Ciència entre tots a Girona, que va ser un gran èxit, l’alumnat de l’institut Celdrà de girona van exposar les seves petites investigacions en relació a la germinació de les llavors.
Un possible procediment també està descrit en el guió del treball i també en la Pràctica 8: Reproducción y desarrollo embrionario en plantas del manual 75 Experimentos en el aula.
La importància en l’alimentació dels llegums
La importància dels llegums en l’alimentació és la base de les activitats que plantegen portar a terme en la Feria de la ciencia 2016 en Sevilla els propers dies 5, 6 y 7 de maig de 2016 alguns dels centres participants, amb els títols Si quieres las comes y si no las dejas el CEIP Manuel Giménez Fernández Leguvicar: una cooperativa muy nutritiva, l‘ES La Puebla i Cada oveja con su lenteja, l’IES Polígono Sur, encara que també proposen d’altres experiments.
La composició dels llegums: midó, proteïnes i contingut energètic
En el manual Activitats pràctiques de Bioquímica al laboratori de secundària es poden consultar les guies (pag. 23) per analitzar existència de midó i de proteïnes en els aliments, el que pot servir en el cas dels llegums. S’expliquen quins són els reactius a utilitzar i com preparar-los. Si no voleu passar l’estona amb el morter, podeu comprar al súper directament cigrons en pols.
En el mateix manual (pag 35) s’indica com obtenir l’energia continguda en alguns aliments altament energètics, com els fruits secs. És difícil fer l’experiment amb la majoria dels llegums, però hi ha una llegum, el cacauet, que és especialment indicat. La primera vegada que vaig veure com cremava i com escalfava un cacauet vaig al·lucinar.




Caray y a mi solo se me ocurre ponerlas en la cazuela y jalarmelas. Ya tengo entretenimiento para unos dias
Bon recull i amb moltes idees. Gracies!
[…] mongetes del ganxet: Un experiment a triar o […]
[…] 04ACFLL […]
[…] 04ACFLL […]
Moltes felicitats pel recull!! és interessantíssim.
[…] l’Any internacional dels llegums me’n vaig apropar al comportament dels llegums en la seva consideració de matèria granular. Una de les característiques d’aquests materials […]