Si s’utilitza un telèfon com a massa d’un pèndol es pot mesurar l’acceleració tangencial i normal que pateix i a partir d’aquests valors estudiar la relació entre la seva energia potencial i la cinètica en el punt més alt i més baix de la seva trajectòria.
Aplicacions i material a utilitzar
Com en altres experiments anteriors es torna a fer servir l’acceleròmetre de l’aplicació Physics Toolbox Sensor Suite. Per mesurar l’angle de separació del pèndol es pot fer servir el Transportador de la suite Smart Tools.
Es necessita una regla per mesurar la longitud del pèndol i també l’altura des de la qual es deixa anar el mòbil perquè comenci a oscil·lar. A més s’ha de subjectar el telèfon a un suport mitjançant dos fils prou forts perquè no es trenquin i alhora lleugers.
Forces, acceleracions i energies en el pèndol simple
Les figures de sota mostra les forces que actuen sobre un telèfon penjat d’un fil quan oscil·la.

La figura de dalt a la dreta il·lustra la posició inicial des de la qual es deixa anar el telèfon, i la posició en la part més baixa de la trajectòria. La diferència d’altures entre les dues posicions és h, que marcarà l’energia potencial gravitatòria del pèndol (telèfon) a la posició inicial respecte a la posició a la part més baixa del moviment:
Ep = m g h = m g (L – L cosθ)
On L és la longitud del pèndol i θ l’angle de separació inicial respecte a la vertical. En aquest punt la seva energia cinètica serà zero (està aturat). Quan el telèfon passa pel punt més baix l’energia potencial relativa a si mateix és zero, però la seva energia cinètica serà màxima ja que també ho serà la seva velocitat:
Ec =½mV2
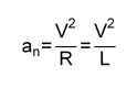
Velocitat que està relacionada amb la component normal (centrípeta) de l’acceleració en aquest punt, que també serà la més gran de tota la trajectòria:

Si es mesura l’alçada des de la qual es deixa anar el telèfon i l’acceleració en la direcció radial serà possible calcular l’energia del pèndol en les dues posicions i comprovar fins a quin punt es conserva en l’oscil·lació.
Realització
Abans que res es pesa el telèfon que utilitzarem com a massa del pèndol. Després s’ha de subjectar el telèfon en posició vertical per dos fils que vagin separant-se entre si fins a la barra o el marc on s’enganxin. La idea és que al subjectar el telèfon de dos fils no tingui possibilitat de rotar sobre si mateix quan l’oscil·li. D’aquesta manera no només es pot mesurar l’acceleració centrípeta (en l’eix Y) sinó també la tangencial (en l’eix Z del telèfon).
Es separa el telèfon un angle que, conjuntament amb la longitud del pèndol, determinen l’altura des de la qual es deixarà anar. Es pot mesurar l’angle amb un transportador de plàstic o amb un altre tlèfon mòbil amb l’aplicació transportador de la suite Smart Tools.
La longitud del pèndol es mesura com la distància vertical des del centre del dispositiu a l’altura en la qual està enganxada la corda També es pot mesurar l’altura des de la qual es deixa anar el telèfon restant les altures respectives del dispositiu a terra en el punt inicial i quan penja verticalment.
h = L – L cosθ
Amb aquest valor i el de la massa del telèfon es pot calcular l’energia potencial que té en aquest moment.
Ara s’obre l’eina Acceleròmetre de l’aplicació Physics Toolbox i s’inicia la gravació de valors. Es deixa anar el telèfon intel·ligent i després de diverses oscil·lacions es para el moviment i l’enregistrament de dades.
Es dóna nom a l’arxiu amb les dades obtingudes i s’obre en un full de càlcul o en una aplicació que permeti la seva anàlisi, com Lab Trazar y Ajuste. Usant les dades de l’acceleració en l’eix Y quan està en el punt més baix (quan el seu valor és més alt) es determina la velocitat tangencial i després l’energia cinètica.
En el cas concret de l’oscil·lació del telèfon de la foto de dalt, amb un angle inicial 20º de separació de la vertical, s’obté una gràfica com la següent:

On s’aprecia que l’acceleració normal adquireix inicialment valors màxims propers a 1 (exactament 0,94 m/s2) i valors mínims que ronden el zero.
Amb aquest valor de l’acceleració, tenint en compte que el telèfon té una massa de 143 g, que la longitud del pèndol és de 47 cm i l’angle que es separa de la vertical inicialment és de 20º, s’obtenen els següents valors per a les energies potencial i cinètica en el punt més alt i més baix de la trajectòria, respectivament:
Epmax = m g (L – L cosθ) = 0,143·9,8·0,028 = 39 mJ
Ecmax = ½ m V2 = ½ m L an = ½·0,143·0,47·0,94 = 32 mJ
D’on resulta una disminució del 18% de l’energia del pèndol ja en la primera oscil·lació. Aquesta pèrdua d’energia continua en successives oscil·lacions com s’aprecia a simple vista en la gràfica anterior, el que és congruent amb la superfície tan poc aerodinàmica del telèfon que talla l’aire en el seu moviment.
Observacions
* S’ha d’utilitzar l’eina Acceleròmetre lineal d’Physics Toolbox i no la de Força G ja que aquesta última indica l’acceleració global sumant la de la gravetat (+ 9,8).
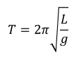
* El període d’un pèndol simple ve donat per l’equació

On L és la longitud del pèndol i g és l’acceleració de gravetat. Si el període, T, es mesura exactament i la longitud del pèndol L és coneguda, es pot calcular l’acceleració de gravetat. En el nostre cas el període mesurat entre deu crestes de la gràfica dividit per 10 és de 1,38 s, el que proporciona un valor de g de 9,7 m/s2.
* Les dades recollides pel mòbil també subministren l’acceleració en l’eix Z, és a dir l’acceleració tangencial. En la gràfica següent es veuen els valors superposats de l’acceleració normal (en blau) i de la tangencial (en vermell). S’aprecia que els mínims de l’acceleració normal coincideixen amb els màxims valors de l’acceleració tangencial.

L’acceleració tangencial ve donada per la component tangencial del pes del pèndol (veure dibuix del pèndol al començament). En el nostre cas:
m g senθ = m at
per tant
at = g senθ = 9,8 sen20 = 3,35 m/s2
que concorda bastant bé amb el primer valor màxim obtingut per l’acceleròmetre del telèfon, que és de 3,43 m/s2.