Experimentació amb tecnologia mòbil. Mesura de la velocitat del so

Mesurar la velocitat del so és un clàssic en els laboratoris escolars. En temps vaig fer un recopilatori (que he refet a febrer de 2021, deixant obsoleta aquesta entrada menys en el que es refereix al primer punt de la velocitat del so en varetes metàl·liques) d’experiments al respecte, i ara torno en aquesta entrada a mostrar com mesurar de diferents formes la velocitat del so a l’aire i també la velocitat del so en varetes metàl·liques fent ús del micròfon que porten tots els telèfons i tauletes (els telèfons són per parlar, no?) i de l’entrada d’auriculars. Comprovarem com el so no es desplaça en tots els medis amb la mateixa velocitat. Els apartats són els següents:

Aplicacions a utilitzar

Spectrum Analiser

 La primera aplicació que utilitzarem serà per mesurar la freqüència fonamental dels sons. La majoria de les aplicacions generals per enregistrar les dades obtingudes dels sensors dels telèfons tenen un apartat que permet mesurar el to fonamental (pitch) d’un so, com és el cas de Physics ToolBox Sensor Suite, que ja hem utilitzat en altres ocasions. En aquest cas, però us proposo una específica com és Spectrum Analyzer. Analizador de sonido, ja que reté el valor de la última freqüència fonamental obtinguda i permet mirar-la amb tranquil·litat, a diferencia d’altres aplicacions que esborren el valor de la pantalla en pic que deixa de sentir-se el so.

function-generator

Ha estat elaborada per l’empresa Keuwlsoft, de la que hem usat altres aplicacions seves com Gauss Meter o Function Generator, totes de gran qualitat, gratuïtes, sense publicitat i no demanen permisos. De fet, l’aplicació Funtion Generator la tornarem a utilitzar en aquesta mateixa entrada al bloc.

Advanced Spectrum Analyzer PRO

Per trobar els diferents harmònics que poden sonar en un tub és molt útil l’aplicació Advanced Spectrum Analyzer PRO que, amb l’opció del menú Enable Peak Hold, reté l’últim anàlisi de fourier realitzat on es poden llegir els valors dels successius pics.

audiotime-logo

Una altra aplicació a utilitzar és Ciencia Móvil – AudioTime+ que la utilitzarem per a mesurar el temps transcorregut entre dos sons. Tots els telèfons i tauletes tenen una aplicació que permet enregistrar veu, però no hi ha apps que, a més de fer això, permetin visualitzar el so i fer mesures sobre la gràfica i manipular-la. Sempre és possible guardar l’arxiu de veu i passar-lo a un ordinador per analitzar-lo amb Audacity, però amb AudioTime+ també podem fer aquestes accions en una tauleta (preferiblement, ja que la pantalla és més gran que en els telèfons i es poden ficar els dits més fàcilment) i, a més, gravar el so a través del micròfon del la pròpia tauleta o amb un micròfon extern connectat per l’entrada d’auriculars.

De l’aplicació AudioTime+ ja hem fet ús en altres ocasions, per exemple en l’article Experiments de mecànica amb l’ajut del sensor de so dels telèfons mòbils i tauletes de la revista Recursos de Física.


Mesura de la velocitat del so que ressona en un tub d’assaig i en una vareta metàl·lica

Si bufem en la boca d’un tub, per exemple d’un tub d’assaig, podem aconseguir que ressoni i es produeixi un so que de vegades és una nota musical estàndard. En tot cas, gairebé mai és un so pur d’una única freqüència. En tots els instruments musicals passa una cosa similar: els sons que es produeixen són una barreja d’harmònics i altres freqüències que sentim totes alhora.

Velocitat del so 1600

Els ordinadors, tauletes i telèfons tenen la capacitat de processar gran quantitat d’informació ràpidament i, amb l’ajut del programari o aplicació corresponent, d’analitzar les freqüències que es combinen en qualsevol so en realitzar el que es coneix com un anàlisi de Fourier i aportar el valor de la freqüència fonamental del to i, en alguns casos, dels seus harmònics successius.

Realització

Spectrum Analiser 1 400

Es bufa en la boca d’un tub d’assaig fins aconseguir produir un so musical mentre es té en funcionament l’aplicació Spectrum Analyzer en el telèfon mòbil, que processa el so i indica directament la freqüència del seu harmònic fonamental.

A més de la gràfica de la descomposició del so, l’app mostra el valor de la freqüència fonamental en cada moment (Peak) en verd, la freqüència on es troba el cursor (Cursor) en marró i la mitjana de les últimes freqüències fonamentals (Av Peak) en groc. D’aquesta manera, encara que ja no soni el to a analitzar, es manté en pantalla la mesura que ens interessa. Si aquest valor no es mostra en la pantalla, s’ha anar a les opcions i en l’apartat Averaging ficar on. Per a resetejar els valors s’ha de pitjar en el 0 requadrat a sota a la dreta en la pantalla (mireu la imatge del costat).

Amb el valor de la freqüència fonamental ja només necessitem mesurar la llargària del tub d’assaig amb una regla mil·limetrada. S’ha de mesurar des de la base del tub (per fora) fins a la boca. Quan es forma l’ona sonora dins el tub, de fet, surt una mica de la seva boca, 0,6 vegades el radi, però com el cul dels tubs d’assaig és rodó i té un cert gruix, en mesurar de la manera que indico ja estem afegint el suplement.

La velocitat del so en l’interior del tub es calcula directament multiplicant la freqüència obtinguda per la longitud d’ona del to fonamental que es pot produir en l’interior d’un tub obert per un extrem (quatre vegades la seva longitud):

Vso (aire) = f x λ = f x 4L

Velocitat del so en diferents medis

 Si es disposa d’una vareta metàl·lica i es frega al llarg de la seva longitud amb els dits impregnats en una mica de resina per a violins es pot aconseguir que vibri longitudinalment i emeti un so corresponen a la freqüència a la que vibra. Si es subjecta la vareta amb els dits a un quart de la seva longitud i es frega, la freqüència aconseguida correspon a una longitud d’ona. Per tant:

Vso (metall) = f x λ = f x L

Observacions

 Les ones sonores són longitudinals (són ones de pressió) malgrat que la seva representació a les il·lustracions es visualitzi moltes vegades amb dibuixos transversals, com he fet en els de sota per tal de veure millor les dimensions de les ones formades.

♠ En el cas del tub obert per un extrem, quan es formen ones estacionaries en el seu interior sempre en l’extrem tancat es forma un node i en l’obert un ventre, per tant l’ona mínima que se pot formar (primer harmònic, freqüència fonamental) correspon a un quart d’ona, i la seva longitud d’ona, λ, serà igual a quatre vegades la longitud del tub (de fet una mica més, com ja hem indicat). El segon harmònic es forma quan s’encabeix tres quarts d’ona en el tub, en el tercer harmònic ha de ser una ona sencera i un quart, i així successivament.

Modes de vibracio 600

La velocitat del so que s’obté variarà en funció de la temperatura i la humitat de l’aire dins el tub d’assaig. Com fem sonar el tub amb el nostre alè sempre tindrà més humitat i temperatura que l’aire circumdant.

Effect.png

♠ En el cas de la vareta metàl·lica, el punt per on l’agafem es convertirà en un node i als extrems hi seran els ventres. Si es subjecta a un quart d’un extrem es formarà una ona sencera, com es pot veure en la tercera vareta del dibuix de l’esquerra, a dalt.

Si es subjecta la vareta pel seu centre, en fer-la vibrar produint un to, el seu harmònic fonamental tindrà un node en el centre i dos ventres en els extrems, és a dir, la vareta encabirà només mitja longitud d’ona. El segon harmònic s’aconsegueix quan la longitud de la vareta correspon a una longitud d’ona i mitja.

Resina violi 400

♠ Per tal de fer vibrar longitudinalment les varetes metàl·liques s’han de subjectar pel punt que interessi, que es convertirà en un node de l’ona formada, i s’ha de fregar arrossegant els dits al llarg de la vareta. Per millorar el fregament la vareta i els dits haurien d’estar impregnats amb una mica de resina. Per aplicar millor la resina mulleu-la amb una mica d’alcohol.

Si al vostre poble hi ha una drogueria de les d’abans aneu i compreu pega grega (colofònia). Si no teniu drogueries, com és el meu cas a Lleida, heu de comprar resina per a violí en una botiga de música (a partir de 6 € ).

♠ Quan a les varetes, poden servir perfectament les barres d’alumini i d’acer dels suports de laboratori. En les ferreteries es poden trobar varetes d’alumini d’un metre de longitud i diversos gruixos i també varetes llargues d’acer, que es poden tallar. Convé que siguin una mica gruixudes, d’un centímetre de diàmetre, per exemple, ja que així el so aconseguit serà més intens.

És més difícil aconseguir varetes de llautó o de coure, però és fàcil trobar tub de coure en les ferreteries que tinguin material pels llauners. També se’ls hi pot fer vibrar, encara que el so no és tant fort com en les barres.


Altres maneres de mesurar la velocitat del so amb un tub

 Els experiments per a calcular la velocitat del so en l’aire es poden fer al revés. En lloc de produir el so en el tub i mesurar la seva freqüència, es pot produir una freqüència i estudiar en quines condicions ressona el tub. Explicaré dos casos: el tub parcialment introduït en aigua i el tub de Kundt.

Afinador de Guitarra n-Track

 Hi ha desenes d’aplicacions que permeten generar un to d’una freqüència determinada. Es pot utilitzar qualsevol d’elles, però una que m’agrada molt és l’aplicació Function Generator que permet generar tons de la freqüència que interessi, bé introduint numèricament el valor o movent un cursor a dreta o esquerra per tal d’augmentar o disminuir la última freqüència. Aquesta aplicació de keuwlsoft té moltes més prestacions com pot ser la l’emetre la mateixa o una freqüència diferent per cadascú dels canals esquerre i dret, que per exemple, es pot fer sevir per a produir batecs o per a experimentar amb interferències sonores. En la pàgina web dels autors troben un mini manual en anglès

Els que tingueu un iPhone o una iPad podeu fer servir l’aplicació Afinador de guitarra n-Track, que també està disponible per android.

El cas del tub parcialment introduït en aigua

 És un experiment que tradicionalment es realitzava als laboratoris de física utilitzant un diapasó, preferiblement d‘una freqüència més elevada (1000 Hz) que les que anaven en els equips ENOSA, que eren de 440 Hz, i un tub gros de vidre o plàstic connectat per la base a un embut gros.

S’omplia el tub amb aigua fins a una altura a la boca del tub de 20 a 30 cm. Es copejava el diapasó i es ficava a la boca del tub. S’aixeca o baixa l’embut per a pujar o baixar l’altura de l’aigua al tub per l’efecte dels vasos comunicants fins que en un moment donat el tub ressona amb la freqüència del diapasó o un dels seus harmònics. Es mesura l’altura del tub lliure d’aigua i es passa a fer els càlculs. És el que proposa aquest protocol del CDEC que l’explica estupendament.

Resonance_tube

A mi m’agrada més l’alternativa d’introduir tubs de plàstic d’uns 4 cm de diàmetre (de canonada, per exemple) i de diferents longituds dins una botella de plàstic transparent d’un litre o litre i mig tallada per la boca i plena d’aigua. El tub es baixa o puja fins que ressona i en aquest moment es mesura l’altura del tub que sobresurt de l’aigua.

En aquests moments, però, no necessitem diapasó. Amb un telèfon i l’app corresponent podem produir el to de la freqüència que vulguem i no és necessari moure res. N’hi ha prou amb mantenir el tub submergit a l’aigua i, amb l’altaveu del telèfon o tauleta a la seva boca, fer variar la freqüència fins que el tub ressoni. No necessàriament serà la freqüència fonamental, així que ara s’haurà de pujar o baixar el tub per a trobar les altres alçades a les que també ressona.

Function Generator 600

Per a l’escombrada de freqüències s’han de marcar els quadrets que apareixen remarcats en la imatge de dalt de l’app Function Generator i arrossegar amb el dit el cursor a dreta o esquerra per tal de pujar o baixar la freqüència del to emès. Quan més es desplaci el cursor més ràpidament canviarà el valor.

Sigui com sigui, si hem aconseguit fer ressonar el tub amb l’harmònic fonamental, calcularem la velocitat del so en el tub com hem fet anteriorment en el cas del tub d’assaig: la velocitat del so serà igual al producte de la freqüència per quatre vegades l’altura del tub sense aigua.

Vso (aire) = f x λ = f x 4L

 Per a fer-se una idea de les longituds lliures del tub per a que ressoni hem de considerar que amb una freqüència de 500 Hz el primer harmònic apareixerà a una altura del nivell d’aigua sobre la boca de menys de 17 cm i si la freqüència és de 1000 Hz la profunditat del tub buit serà de menys de 9 cm.

El cas del tub de Kundt revisat

 Els experiments relacionats amb el tub de Kundt també han estat tradicionals als laboratoris escolars ja que permet mesurat la velocitat del so en diferents gasos (per exemple en butà) però necessitava un utillatge més sofisticat que un diapasó: el mateix tub de Kundt clàssic (veure l’explicació d’Ángel Franco en el seu Curs de Física interactiva en Internet) o un tub transparent de vidre o plàstic més un generador de funcions amb un amplificador i un altaveu, com es proposa en aquest protocol del CDEC.

Tub Kundt
Tub de Kundt clàssic

En aquests moments, però, és possible realitzar l’experiment proposat pel CDEC reemplaçant el generador de funcions per un telèfon o tauleta, i l’amplificador i altaveu per uns altaveus d’ordinador (per exemple un altaveu bluetooth). Ara el més difícil d’aconseguir serà el tub i les serradures de suro 😉

Tub de Kundt
Muntatge del protocol del CDEC

L’aplicació a córrer en el telèfon serà qualsevol de les que ja hem utilitzat per a produir sons de la freqüència desitjada, com l’Afinador de guitarra n-Track, per exemple.

Però us proposo un experiment encara més casolà, però no per això menys rigorós, mesurar la velocitat del so en un tub de cartró, que ens farà el paper del tub de Kundt. Servirà qualsevol tub però quan més gran sigui millor, ja que sentirem els sons més alts quan ressoni. Un tub d’aquells en els que envien pòsters és ideal.

Ressonancia tub cartro 600

També necessitarem una aplicació al mòbil o tauleta que sigui capaç de donar els valors dels diferents harmònics que es formen al tub quan produïm un soroll al seu interior. L’aplicació Advanced Spectrum Analyzer PRO, que hem presentat al començament és estupenda.

Obrirem l’app i l’indicarem que recordi l’últim anàlisi de fourier realitzat amb l’opció del menú Enable Peak Hold. Posarem el telèfon o la tauleta amb el micròfon en la boca del tub i li donarem uns copets al tub per a que soni. A continuació no cal més que mirar la gràfica que ens subministra l’aparell mòbil i apuntar els valors dels successius pics que corresponen a les freqüències dels diferents harmònics que ha estat capaç d’encabir el tub. Ha de sortir una gràfica com la de sota.

Ressonancia tub cartro resultats 600

Per esbrinar el valor dels pics més significatius només cal pitjar la pantalla i arrossegar amb el dit la línia verda o violada que apareix fins als vèrtexs de la línia groga, de manera que els valors es mostren a dalt amb el mateix color de la línia corresponent. La gràfica de la figura s’ha obtingut copejant un tub de 74 cm de llarg i 9,5 cm de diàmetre. El valor del primer harmònic és de 107 Hz i el del segon de 322 Hz. Si fem els càlculs:

Vso = λ x f = [4 x (74 + 4,75×0,6)] x 107 = 330 m/s

Vso = λ x f = [4/3 x (74 + 4,75×0,6)] x 322 = 330 m/s

Observacions

♠ Els telèfons i tauletes tenen uns altaveus de poca potència. Si es vol que el tub ressoni fort i sigui més espectacular, s’ha d’utilitzar un tub gros, per exemple el d’una canonada de desaigüe d’uns 12 cm de diàmetre i un altaveu connectat al telèfon (per cable o per bluetooth), que és el que es ficarà a la boca del tub.

També és convenient usar altaveus externs al telèfon ja que seran capaços de reproduir sons de freqüències baixes mentre que els altaveus dels mòbils moltes vegades ja no reprodueixen els tons per sota de 150 Hz.

♠ Tant els tubs de PVC de 4 cm de diàmetre com els de 12 es poden comprar en botigues que venen material per llauners.

Els tubs llargs transparents de plàstic (PVC) d’uns 4 cm de diàmetre es poden comprar a les ferreteries com el Servei Estació buscant tub rígid de PVC transparent.

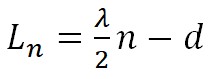
♠ Quan es fica un altaveu en la boca oberta d’un tub tancat per l’altre extrem, el so produït, d’una determinada freqüència, entra al tub comprimint l’aire en el seu interior i produint un tren d’ones que es reflecteix en arribar a l’extrem tancat del tub amb un canvi de fase de 180º. Resulta així, a l’interior del tub, una combinació d’ones incidents i reflectides que, per a determinades longituds del tub, produeixen ones estacionàries, amb un node a l’extrem tancat i un ventre, o amplitud màxima, una mica sortit de l’extrem obert del tub (mireu la gràfica de sota). El tub entra llavors en ressonància i es produeix una intensificació considerable del so emès.

Modes de vibracio 2600

Com ja he comentat la posició del primer ventre no coincideix exactament amb l’extrem obert del tub de ressonància, sinó que està fora d’ell, a una distància (d) igual a aproximadament 0.6 vegades el radi del tub. Així, la longitud del tub per la qual es produeixen les diferents ressonàncies ve determinada per l’expressió:

Longitud ona tubs tancats formula.jpg               On n = 1, 2, 3, …

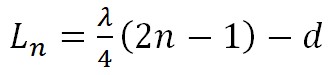
Per tal d’evitar l’inconvenient del paràmetre d en l’equació de dalt, a l’hora de calcular la longitud d’ona es pot determinar la longitud del tub lliure per a dues ressonàncies consecutives Ln i Ln+1, i la seva diferència correspondrà a mitja longitud d’ona, el que és independent de la posició del ventre a la boca del tub, per tant:

Longitud ona diferencia longitud tubs

♠ En el cas de que tinguéssim un tub obert per tots dos cantons les ones estacionàries que es formen en el tub tenen ventres als dos extrems, de manera que la longitud del tub per a la qual es produeixen les diferents ressonàncies ve donat per l’equació:

Longitud ona tubs oberts formula.jpg           On n = 1, 2, 3, …

on el paràmetre d representa el que surt l’ona estacionària pels extrems del tub. Igual que en cas del tub tancat per determinar la longitud d’ona es resta la longitud de dues ressonàncies consecutives.

Longitud ona diferencia longitud tubs

 Mesura de la velocitat del so a traves de l’eco

Des de que disposem de sistemes que permeten mesurar amb precisió temps molt curts, com és el que transcorre entre la producció d’un soroll i el seu eco en una paret molt pròxima, és possible mesurar la velocitat del so mesurant el temps que passa entre anar i venir.

Realització

Per a fer l’experiment es necessita un tub prou llarg de plàstic (un tub de PVC de fontaneria) o de cartró d’uns 4 cm de diàmetre i uns 3 m de llarg, i un telèfon o tauleta amb sortida d’auriculars, on endollar un micròfon, com es veu a la fotografia. El micròfon es col·loca a la boca del tub, que ha d’estar tancat per l’altre extrem.

velocitat so eco

L’aplicació a utilitzar ha de ser capaç de gravar el so i després mostrar la gràfica de la seva intensitat en funció del temps per tal que sigui possible el mesurar l’interval de temps que passa entre dos sorolls. L’app Audiotime+ ho fa molt bé i és la que he utilitzat en aquest cas.

S’obre l’aplicació i es comença la gravació polsant el botó +. A continuació es fa una palmadeta amb les mans a la boca del tub i s’atura la gravació. El resultat és com es veu a la imatge de sota una vegada que s’ha engrandit la gràfica i ha marcat el principi del soroll i l’inici del seu eco pitjant successivament amb un dit en la pantalla. Les dues marques indiquen el temps en el que s’han produït i a sota es mostra també el valor de l’interval.

Velocitat so

En aquest cas l’experiment l’he fet amb un tub de cartró curt d’1,66 m de longitud, sent el temps d’anada i tornada del so dins el tub de 0,00974 s. Malgrat la curta longitud del tub el resultat per a la velocitat del so surt prou bé:

Vso = d/t = 2×1,66/0,00974 = 341 m/s

Observacions

♠ El micròfon ha d’estar a la boca del tub. Normalment no es grava bé l’eco si directament es fica el micròfon del telèfon o tauleta a la boca del tub. De totes maneres un micròfon qualsevol com el que es veu a la fotografia dona bons resultats, i és prou barat.


Hi ha un comentari

Deixa un comentari

Aquest lloc utilitza Akismet per reduir els comentaris brossa. Apreneu com es processen les dades dels comentaris.