En l’Any internacional dels llegums me’n vaig apropar al comportament dels llegums en la seva consideració de matèria granular. Una de les característiques d’aquests materials és que en determinades circumstàncies es comporten com una mena de líquids, encara que no de la mateixa manera que l’aigua que és el líquid al que estem més acostumats.
En el moment d’explicar el comportament líquid de la matèria granular surt la necessitat de comparar-lo amb les propietats dels altres líquids i l’estudi de les diverses propietats dels diferents tipus de líquid me va portar a preparar el taller que desenvolupo en aquesta entrada del bloc i que sota el títol de Las propiedades de los líquidos diferentes vaig tenir l’honor d’impartir al mes de març al Centro Principia de Málaga.
En el següent vídeo podeu veure la meva xerrada i, amés, en la pàgina web del museu també podeu gaudir dels vídeos de les diferents conferències que s’han fet, aquest i altres anys, en el cicles que anomenen Los sábados en Principia disfruta con la Ciencia impartides per divulgadors excel·lents, vells coneguts nostres de Ciència al carrer o els encontres DDD.
Però, quines són aquestes propietats dels altres líquids?, o millor, quins són els comportaments no tant evidents dels líquids. Per arribar a descriure aquestes propietats primer hem d’explicar què és un líquid, després estudiarem el que caracteritza als diferents tipus de líquids, newtonians, no-newtonians i viscoelàstics, per passar a continuació a mostrar mitjançant experiments el que comporten algunes de les propietats relatades:
- Com vesen els líquids newtonians i el líquids granulars, on vaig explicar el comportament fluid de la matèria granular amb l’exemple dels llegums.
- Com flueixen les líquids produint els efectes Coanda, Kaye, Barus (o de Merrington) i Weissemberg, on me centro en diferents fenòmens relacionats amb la fluïdesa, l’adherència i la viscositat
- Com la tensió superficial afecta a la flotabilitat, a la capil•laritat i a la forma dels líquids, i també propicia l’aparició dels efectes Cheerios o Marangoni.
Què entendre per líquid?
Com que el líquid és un dels estats de la matèria més quotidians tots tenim el concepte de líquid al cap, però per a verbalitzar-lo hem de parlar de les dos propietats que millor el defineixen: els líquids flueixen i són gaire bé incompresibles.
La fluïdesa és el que diferencia el comportament líquid del sòlid. S’anomena líquid a un tipus de matèria en la qual varia la posició que prenen entre sí les seves partícules constituents davant l’aplicació d’una força, produint un canvi de forma, és a dir, fluint. Aquesta és una de les característiques definitòries: davant un esforç tallant (no compresiu) els líquids es deformen, i en acabar l’esforç no tornen a la situació inicial, com farien si foren sòlids i no s’haguessin trencat.

Això és possible perquè els líquids són substàncies formades per partícules (àtoms, molècules, agrupacions d’àtoms i/o molècules) entre les quals només hi ha una força d’atracció feble (de cohesió) que les manté unides, encara que les permet lliscar entre sí amb força llibertat. A diferència dels gasos (també fluids), les distàncies entre les molècules dels líquids són gairebé invariants, no es poden apropar entre sí, pel que se’ls considera pràcticament incompressibles.
D’aquestes dues propietats mecàniques, fluïdesa i incompresibilitat, se’n deriven d’altres, com:
El líquid no té una forma pròpia sinó que ve determinada pel recipient que el conté per efecte de la gravetat, encara que les seves partícules (normalment molècules o cúmuls de molècules) tenen llibertat de moure’s pel seu interior. El que no tingui una forma pròpia no vol dir que no tingui una forma “natural”, que és la d’esfera o esferoide.
Els líquids posseeixen un volum propi a temperatura constant. El volum d’una quantitat de líquid està fixat per la seva temperatura i la pressió. En general, els líquids s’expandeixen quan se’ls escalfa, i es contrauen quan es refreden. L’aigua entre 0 °C i 4 °C és una excepció (una de les propietats anòmales de l’aigua). Com ja he comentat els líquids tenen una compressibilitat molt reduïda: l’aigua, per exemple, no canvia la seva densitat de manera apreciable a menys que se la sotmeti a una pressió de centenars d’atmosferes.
La seva superfície lliure és plana i horitzontal en estat de repòs. Això és cert quan la superfície és molt gran si es considera el camp gravitatori g uniforme, perquè de fet el líquid tendeix a adoptar una superfície d’igual energia potencial, com en el cas dels mars i oceans.
Com tots els fluids, els líquids dins d’un camp gravitatori exerceixen pressió contra les parets del recipient així com contra qualsevol cosa que hi hagi dins del líquid. Aquesta pressió es transmet en totes les direccions i s’incrementa amb la profunditat. Així, si un líquid està en repòs en un camp gravitatori uniforme, la pressió p en un punt determinat ve donada per: p = ρ g h, on, ρ és la densitat del líquid, g és gravetat, i h és la profunditat del punt per sota de la superfície. Cal destacar que aquesta fórmula assumeix que la pressió en la superfície lliure és zero i que es poden descuidar els efectes de la tensió superficial. Us recordo, però, que tat i com vam veure a Experiments científics en L’Any Internacional dels llegums, 2016, el cas de la matèria granular és diferent.
Del fet que les partícules que constitueixen els líquids estiguin unides entre sí por forces de cohesió i que aquestes partícules puguin ser atretes per les partícules del material sòlid que els conté, es deriven d’altres propietats mecàniques:
La superfície del líquid es comporta com una membrana elàstica en la qual apareix la tensió superficial que possibilita la flotació d’objectes més densos que el líquid i també permet la formació de gotes i bombolles. La capil·laritat és una altra conseqüència de la tensió de superfície.
Pel contrari, l’adherència a les superfícies amb les que es troba és la responsable de la propietat de mullar que tenen els líquids i de l’efecte Coanda.
Els líquids poden presentar immiscibilitat si les forces de cohesió entre les partícules en el sí de cada líquid són molt més fortes que les que s’estableixen entre les d’un líquid i les de l’altre. La barreja més familiar de dos líquids immiscibles en la vida quotidiana és la de l’oli vegetal i l’aigua. Si les forces entre tots tipus de partícules constituents dels líquids són similars els líquids seran miscibles. Una parella familiar de líquids miscibles és l’aigua i l’alcohol.
Els objectes submergits en líquids estan subjectes al fenomen de la flotabilitat, que també s’observa en altres fluids, però que és especialment destacable en els líquids per la seva alta densitat.
Repetim que la matèria en estat líquid és fàcilment deformable. La viscositat d’un fluid és una mesura de la seva resistència a les deformacions produïdes per forces tallants. El concepte de viscositat es correspon amb la idea intuïtiva d’estar espès, de que li costa fluir, com quan diem que la mel té una viscositat més gran que l’aigua.
La viscositat és una propietat física característica de tots els fluids que apareix com a conseqüència de les col·lisions entre les partícules del fluid que es mouen a diferents velocitats, provocant una resistència al seu moviment. Quan un fluid es mou forçat per un tub, les partícules que componen el fluid es mouen més ràpid prop de l’eix longitudinal del tub, i més lentes prop de les parets. Per tant, cal que hi hagi una força tallant per sobrepassar la resistència de la fricció entre les capes del líquid, i que el fluid es segueixi movent pel tub.

Un fluid que no té viscositat es diu fluid ideal. La viscositat nul·la només apareix en superfluids a temperatures molt baixes. Tota la resta de fluids coneguts presenten més o menys viscositat, que es mesura experimentalment amb viscosímetres i reòmetres. Es diuen reòmetres ja que la reologia és la part de la física que estudia les propietats viscoses dels fluids.
Com veurem més endavant, la viscositat pot variar per diversos factors, però en tots els líquids varia amb la temperatura, de manera que a mesura que augmenta la temperatura del líquid disminueix la seva viscositat. L’equació d’Arrhenius prediu de manera aproximada aquesta variació de la viscositat, µ:

Líquids newtonians
L’aigua, moltes de les seves dissolucions i altres líquids similars reben el nom de líquids newtonians (de forma més general, fluids newtonians). Són líquids que presenten una viscositat μ constant amb el temps, que depèn pràcticament només de la temperatura. Encara que el millor exemple d’aquest tipus de fluids és l’aigua també ho són en condicions normals molts d’altres, com la gasolina, el vi i alguns olis, per exemple.
El comportament newtonià ve condicionat per la longitud de les molècules del fluid, de manera que els fluids amb molècules de mida petita (pes molecular <1000) presenten un comportament newtonià.
El fet que l’aigua sigui el líquid amb el qual tenim una convivència més estreta i, per tant, el més “normal” per a nosaltres no vol dir que no tingui un comportament especial i molt interessant que val la pena repassar, encara que no sigui més que per ficar-ho en contraposició al dels altres tipus de líquids.
Sobre el comportament de l’aigua vaig escriure una pàgina en el aquest bloc, Les estranyes propietats de l’aigua, on s’exposa una llista de les seves propietats més rellevants ordenada per la importància en relació a la seva pròpia estranyesa o la importància per als éssers vius i el nostre planeta Terra, que li va atorgar en un estudi Delphi una mostra de professorat de ciències de secundària i universitat de la província de Lleida.
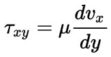
Els líquids newtonians són un dels fluids més senzills de descriure. La corba que mostra la relació entre l’esforç tallant, o de cisalla, contra la seva velocitat de deformació és lineal. El seu comportament ve definit per l’equació:
on,
txy és la tensió tangencial exercida en un punt del fluid o sobre una superfície sòlida en contacte amb el mateix, té unitats de pressió, [Pa] (Pascals).
μ és la viscositat del fluid, i per a un fluid newtonià depèn només de la temperatura, pot mesurar-se en [Pa • s] (Pascal per segon).
dvx/dy és el gradient de velocitat perpendicular a la direcció en el pla en el qual estem calculant la tensió tangencial, [s-1].
És a dir, en aplicar una tensió de cisalla en un fluid newtonià, la velocitat de deformació del fluid és directament proporcional a la tensió aplicada, sent la constant de proporcionalitat la viscositat, μ.

Aquest valor a una temperatura determinada és constant per a qualsevol velocitat de cisalla i és també independent del temps d’aplicació de la cisalla. Com veurem en parlar dels líquids no-newtonians, les desviacions possibles d’aquest comportament es poden agrupar en:
- Variació de la viscositat amb la velocitat de cisalla
- Variació de la viscositat amb el temps d’aplicació de la cisalla
Líquids no-newtonians
Per definició el concepte de líquids no-newtonians engloba gaire bé tots els líquids que no es comporten com els newtonians, la qual cosa no vol dir que tots els no newtonians tinguin les mateixes propietats. Hi ha una gran quantitat de líquids, gairebé tots d’interès industrial, que presenten aquest comportament i que, en general, posseeixen molècules llargues o de grans dimensions (pes molecular > 100000). El que tenen en comú és que la seva viscositat no és constant, encara que es mantingui la temperatura, sinó que varia amb la velocitat de deformació.
Ates l’ampli rang de possibles velocitats de deformació, per exemple el flux a través de tubs pot anar des de 1 a 1000 s-1, és molt important tenir en compte la variació que, amb la velocitat de deformació, pugui patir la viscositat d’un fluid que no segueix la llei de Newton (fluid no-newtonià).
A la figura de sota es representa l’esforç de cisalla enfront de la velocitat de deformació per a alguns d’aquests comportaments que s’allunyen de la llei de Newton. Aquest tipus de corbes s’anomenen normalment corbes de flux i s’usen correntment per expressar el comportament reològic dels fluids.

A sota represento, per als tres tipus de líquis més habituals, com varia la seva viscositat enfront de la velocitat de deformació, que és una altra manera de veure la gràfica anterior.

Com a resum, tenim en la taula de sota els diferents tipus de líquids, i a continuació els aniré explicant una mica. Per aprofundir podeu estudiar el curs de Reologia del professor Joan Carles Garcia Quesada de la Universitat de València que a mi m’han estat de gran ajuda, en concret el Tema 2. Fluídos viscosos, del que me he apropiat.

Comportament diletant
El presenten aquells fluids que veuen augmentada la seva viscositat en incrementar la velocitat de cisalla aplicada, causada per reorganitzacions en la seva microestructura. Els fluids que segueixen aquest comportament són poc nombrosos, podríem citar suspensions de midó en aigua i certes suspensions de PVC.
Comportament plàstic
La plasticitat és un fenomen que mostren certs materials que es comporten com a sòlids elàstics quan aquests materials són sotmesos a esforços menors que cert valor llindar, mentre que amb un esforç superior al llindar es deformen contínuament com un fluid, sent l’esforç una funció, lineal o no, de la velocitat de deformació. Exemples típics d’aquest tipus de materials són la pasta de dents, la maionesa, la melmelada, la clara d’ou o la nata batuts. Quan la funció és lineal tenim els plàstics ideals o de Bingham.
Pseudoplàstics
Són materials que veuen reduïda la seva viscositat en augmentar la velocitat de deformació. Molts materials mostren aquest tipus de comportament en major o menor grau i per ser el comportament més comú i trobar-se en gran quantitat de substàncies d’aplicació industrial ha estat àmpliament estudiat. Dissolucions de polímers i polímers fosos i nombroses substàncies que es troben en emulsions, suspensions, o dispersions són exemples d’aquest tipus de fluids. Per exemple, les pintures antidegoteig que en ser esteses a la paret flueixen amb facilitat, però que en deixar de prémer amb el rodet ja no gotegen.
La pseudoplasticitat dels polímers fosos o dissolts es pot explicar d’acord a la formació i ruptura d’interaccions entre les molècules del polímer i al desembull de les mateixes.
Quan comença a actuar un esforç de cisalla sobre el fluid es produeix una major destrucció de les interaccions entre les cadenes polimèriques, però la mobilitat tèrmica és capaç de compensar-les creant-les d’altra banda, donant lloc a canvis tot just observables en la viscositat del fluid, però si es continua augmentant l’esforç de cisalla, pot arribar un moment a partir del qual es destrueixen més interaccions de les que es creen, donant lloc a una pèrdua de l’estructura inicial i a un desembull i alineació de les cadenes polimèriques que produeix un estirament i una major separació entre elles, sent el resultat net de tots dos efectes un descens en la viscositat del fluid.
El que el fenomen sigui més o menys acusat depèn en gran mesura de la distribució de pesos moleculars i les ramificacions del polímer estudiat, ja que la dependència de la viscositat amb el pes molecular del polímer a baixes cisalles segueix l’equació:

On el valor de a oscil·la entre 3.5 i 1 depenent del pes molecular (Mw) del polímer.
Tixotròpics i reopèctics
Sovint apareix una variació de la viscositat amb el temps d’aplicació de la deformació. Si el valor de la viscositat disminueix és el cas d’un fluid tixotròpic, mentre que si augmenta és un fluid reopèctic. Per tant, el comportament dels fluids d’aquests tipus depèn en gran mesura de la història i podrien obtenir diferents corbes per a una mateixa mostra, depenent del procediment experimental.
Les causes més comuns que provoquen la variació de la viscositat amb el temps solen estar associades a ruptura o formació d’agregats col·loïdals i interaccions que formin una estructura reticular a la mostra. Exemples de fluids tixotròpics són pastes de midó, gelatines, maioneses, pintures, adhesius, etc. La reopexia és més difícil de trobar.
L’efecte tixotròpic és encara més complicat ja que pot observar-se una reducció en la viscositat en l’aplicació d’una cisalla en incrementar la velocitat, però que es fa més petita en disminuir gradualment la velocitat de cisalla, produint-se una mena de cicle d’histèresi.
A més, experimentalment és difícil detectar diferències entre la pseudoplasticitat i la tixotropia ja que els efectes combinats de la cisalla i el temps poden superposar-se, amb l’inconvenient afegit que la majoria dels fluids tixotròpics són pseudoplásticos.
Líquids polimèrics
Líquids polimèrics no apareixen en la clasificació de les taules i gràfiques anteriors perquè engloben diferents categories. És un terme utilitzat pels professors Leopoldo García-Colín i Rosalío Rodríguez en el magnífic llibre Líquidos Exóticos, publicat en 1995 pel Fondo de Cultura Económica a Mèxic i que engloba a plàstics, pseudoplàstic, tixotròpics, etc., es a dir, els que entren en la categoria dels líquids no newtonians. És, doncs, un terme genèric amb el que ens referirem en els experiments a substàncies líquides formades per molècules d’elevat pes molecular (pures, en dissolució, en suspensió), com són les pintures, el suc de tomàquet, la pasta de dents, etc.
Líquids viscoelàstics
La viscoelasticitat consisteix en la propietat que tenen alguns fluids de posseir cert grau d’elasticitat que els permet recuperar la seva forma quan desapareixen els esforços de tall que els han deformat. Exemples: masses de cereal, solucions gomoses, massilla siliconada, etc.
La manifestació d’aquesta elasticitat depèn de l’escala de temps del fenomen. Per exemple podem fixar-nos en la massilla siliconada coneguda vulgarment com massilla màgica, o massilla saltadora. Es tracta d’un líquid molt viscós, que normalment flueix amb extrema lentitud. Si es pren una porció d’aquesta massilla i se li dóna forma de pilota, se la pot fer rebotar al pis com una pilota de goma, és a dir, es comporta en aquest cas com un sòlid elàstic. No obstant això, si es deixa la pilota sobre una taula, al cap d’alguns minuts s’aplana i lentament es vessa sobre la taula.

Per altra banda, si se li dóna a la massilla la forma d’un cilindre, i s’estira aquest cilindre, el que passi depèn de com de ràpidament l’estirem. Si li donem una tirada brusc, el cilindre es trenca produint una fractura fràgil, com passa amb un sòlid rígid. Però si l’estirem lentament flueix fins que es produeix un filament molt prim, que finalment es trenca per fractura dúctil.
La massa que es prepara per fer tallarines té propietats semblants, si ha estat treballada adequadament. També les roques de l’escorça terrestre tenen aquest comportament, ja que si bé estem acostumats a considerar-les sòlides, sobre les escales de temps geològiques flueixen com un líquid viscós.
Altres líquids
A més dels líquids granulars com la sorra, la grava, els llegums, la sal, etc. que es comporten com a líquids quan es troben en estat d’agitació, tal i com vaig explicar en l’entrada Experiments científics en L’Any Internacional dels llegums, 2016, també hi ha d’altres tipus de líquids no-newtonians dels que no he parlat res fins ara, com ara els cristalls líquids (pantalles de calculadores), els líquids sobrerefredats i vidres, els fluids multifàsics (escuma de cervesa), els supercrítics (a molt alta pressió i temperatura) o els superfluids (prop del zero absolut), però dels que no parlaré en aquesta entrada del bloc.
Tampoc parlaré dels ferrofluids, encara que sí me detindré en el cas d’un tipus de líquid en part desconegut per a mi fins fa ben poc: els líquids electroactius, aquells que responen a camps elèctrics elevats.
De tots és conegut el cas dels líquids polars, com l’aigua, que és atreta per camps elèctrics intensos, com és el cas d’un raig d’aigua que cau de l’aixeta quan se li apropa un objecte carregat elèctricament, com un globus fregat contra el jersei.
Doncs bé, hi ha líquids que en presència de camps elèctrics elevats, com en el cas de l’experiència del globus d’abans, no només desvien la seva trajectòria sinó que els hi augmenta la seva viscositat fins a deixar de fluir.
És el cas del moc (slime) electroactiu fet amb farina de panís (blat de moro) i oli (de gira-sol). Si es prepara en una suspensió espessa una barreja de midó de blat de moro i l’oli vegetal (al 50% de cada en pes, aproximadament), la barreja vesa bé fins que es col·loca en presència d’un fort camp elèctric de diversos milers de volts proporcionats, per exemple, per un globus fregat. El que succeeix és que canvia la viscositat del líquid i forma una pasta espessa que sembla que es congela i deixa de fluir. El líquid resta aturat fins que s’elimina el camp elèctric.
Algunes propietats (mecàniques) dels diferents líquids:
Com flueixen les líquids produint els efectes Coanda, Kaye, Barus (o de Merrington) i Weissemberg
Efecte Coanda
En mecànica de fluids, l’efecte Coandă és el fenomen físic en el qual un corrent de fluid -gasós o líquid- tendeix a ser atret per una superfície veïna a la seva trajectòria. El terme va ser encunyat per Albert Metral en honor a l’enginyer aeronàutic romanès Henri Coandă, qui va descobrir l’efecte en un prototip seu d’un avió de reacció (1910).
L’exemple més senzill consisteix en deixar lliscar aigua per la superfície convexa d’una cullera apreciant-se clarament que tendeix a seguir el seu contorn, com es veu a la foto. És tan gran la força d’adherència de l’aigua a la superfície que un doll d’una aixeta és capaç de sostenir una cullera de plàstic a l’aire:
Un altre exemple on es fica de manifest aquest fenomen és el de la tradició catalana en el dia del Corpus de l’Ou com balla, que consisteix en ficar la closca d’un ou damunt el doll d’aigua de les fonts i deixar-la flotant tot el dia. L’explicació ha de combinar el principi de Bernoulli, i l’efecte Coanda. Si l’aigua no s’adaptés a la superfície de l’ou aquest no podria mantenir-se en equilibri i cauria cap un costat, encara que el raig d’aigua sortís amb tota la velocitat que volguéssim.
Variació de la fluïdesa amb la pressió
Començaré els exemples relacionats amb la variació de la viscositat amb l’esforç tallant amb dos clàssics dels líquids no-newtonians: el Ketchup i la suspensió de la Maicena (farina de blat de moro) en aigua.
Com hem vist la tixotropia és la propietat d’alguns fluids no newtonians que mostren un canvi de la seva viscositat no només en augmentar l’esforç tallant sinó també en el temps; com més es sotmeti el fluid a esforços de cisalla, més disminueix la seva viscositat. Un fluid tixotròpic és un fluid que triga un temps finit a aconseguir una viscositat d’equilibri quan hi ha un canvi instantani en el ritme de cisalla, encara que de vegades també s’aplica als fluids pseudoplásticos que no mostren una relació entre viscositat i temps.
Un exemple típic és el de la tomata Ketchup. La botella clàssica te una boca prou ampla per la que cauria l’aigua sense cap dificultat, però si la girem cap avall no cau ni una gota de la tomata. Per ficar-nos la salsa a la salsitxa primer hem de sacsar la botella tapada i després de treure el tap, girar-la i, si és de vidre, donar-li un petit cop al cul. Javier Yanes l’explica amb més detall.
Als fluids que exhibeixen la propietat oposada se’ls diu diletants o reopèctics, en funció de que l’esforç de cisalla provoqui la solidificació o que, a més, l’efecte depengui del temps. Una de les experiències utilitzades en les fires de ciència quan es tenen molts diners és la de preparar una piscina de canalla plena de aigua barrejada amb farina de panís i després convidar als assistents a caminar sobre les aigües, com ens va fer un parell de vegades a Lleida el gran Carlos Moreno cap del departament de Ciències del Col·legi del Pirineu d’Andorra.

Si només disposem d’un paquet de Maicena per a fer l’experiment, podem començar per mig omplir un got amb la farina i afegir-li una mica d’aigua. Veurem que la maicena es “dissol” molt bé a l’aigua, de manera que amb una mica d’aigua ja es fa la suspensió. En remenar la crema que s’ha format notarem com s’ha de fer més força quan més ràpid vulguem moure-la.
També es pot fer la mescla en una safata petita (no tenim més que un paquet) que es col·loca sobre una taula. Si es fa un cop de puny amb força sobre la suspensió s’aprecia clarament com el puny és aturat, mentre que si ho fem poca a poc el puny entra sense dificultat en la mescla. És més, si s’agafa una mica a la mà se li pot donar forma de piloteta, que es desfà si es deixa reposar sobre la palma de la mà.
Aquesta propietat de la mescla de maicena i aigua d’endurir-se ràpidament amb les forces de cisalla també és la causant del ball que realitza quan es fica sobre un altaveu que està sonant, i de molts d’altres experiments.
Tradicionalment es pensava que la solidificació de la suspensió es podia explicar només amb l’augment de la viscositat amb la cisalla, però des de fa un temps s’ha vist que per a l’explicació s’ha de tenir en compte el comportament de la farina com a matèria granular suspesa a l’aigua, com l’explica Francisco R. Villatoro en el seu bloc La Ciencia de la Mula Francis.
Efecte Kaye
L’efecte Kaye va ser descrit pel enginyer britànic Alan Kaye el 1963 i consisteix en l’aparició durant breu temps de dolls que salten quan es deixen caure alguns líquids polimèrics sobre una superfície en la qual es va acumulant el líquid. Apareix com a conseqüència de la diferència de viscositats entre el líquid que cau i el que s’acumula a la superfície.
S’ha descobert que aquest fenomen és comú en tots els líquids en els quals disminueix la viscositat sota un esforç tallant. Líquids casolans comuns amb aquesta característica són sabons líquids, xampús o pintures de les que no degotegen. L’efecte generalment passa desapercebut perquè poques vegades dura més d’uns 300 mil·lisegons. L’efecte pot aconseguir-se abocant el líquid en forma de raig finet sobre una superfície inclinada de manera que el raig que rebota no intersecti amb el que cau, ja que llavors l’efecte tendeix a desaparèixer.
Per explicar aquest fenomen sorprenent cal tenir en compte que el xampú és un líquid que s’aprima per cisallament i la seva viscositat depèn de l’esforç tallant. Com més grans siguin les forces de tall, menor serà la viscositat del líquid.
Abans que tingui lloc l’efecte Kaye, el primer raig forma sobre la superficie en la que cau un munt en espiral que creix amb cada llaç. Com el munt es mou molt lentament, la viscositat del xampú torna a augmentar i es fa molt més gran que la viscositat del raig que cau. Si el raig colpeja la pila de sabó en diagonal, entren en joc grans forces de tall que fan que el raig es comporti elàsticament.
A mesura que s’aboca més xampú es forma un muntet que va pujant i el raig primari en xocar fa una força vertical sobre la superfície de la pila en la que va formant un soc en el que rebota. Poc a poc el soc es fa més i més profund de manera que el raig que surt cada vegada ho fa més en vertical. Al final, el forat es fa tan profund que el raig secundari surt de la pila amb un angle de més de 90ª i xoca amb el doll primari, desapareixent el fenomen.
El raig surt del forat amb un angle i una velocitat determinada i després segueix la trajectòria d’un tret parabòlic. La imatge mostra que el diàmetre del doll primari és més petit que el diàmetre del doll secundari. Això pot explicar-se pel fet que la velocitat del xampú en la caiguda es veu disminuïda per fricció en xocar amb el munt, mentre que el caudal de líquid ha de mantenir-se igual.
En un fluid newtonià el raig, en xocar amb el líquid que hi és a baix, s’atura ràpidament per fricció i simplement es submergeix en el líquid circumdant.
En 2006 Michel Versluis i altres, professors de Física de fluids de la facultat de Ciència i Tecnologia de la universitat holandesa de Twente, van escriure l’article Leaping shampoo and the stable Kaye effect, que descriu molt be l’efecte i van gravar un vídeo explicatiu molt bo. Posteriorment, en 2009, el porefessors Binder i Landig del centre de recerca Suedwuerttemberg de Saulgau, en Alemania van publicar un altre article, The Kaye effect, en el que afegien al canvi de viscositat els efectes elàstics en l’explicació del fenomen.
Per veure com surt l’efecte Kaye quan el fem nosaltres de forma casera podeu mirar aquest altre vídeo:
Efecte Barus o de Merrington
Aquest efecte consisteix en eixamplament dels líquids polimèrics en sortir pel forat d’un tub pel qual han circulat a pressió. En el cas de l’aigua, en sortir pel forat de l’aixeta es veu accelerada com a conseqüència de la força del pes i el feix es va estirant i fent-se cada vegada més prim fins que es trenca en gotetes. Però hi ha líquids, com els plàstics, el sabó líquid o la pasta de dents, que en sortir pel forat del tub s’eixamplen inicialment abans de continuar caient aprimant-se.
Molts fenòmens que apareixen durant el fluir de líquids no newtonians i viscoelàstics s’atribueixen al fet de presentar diferències d’esforços normals (perpendiculars) a la direcció del flux. L’existència d’una tensió que no va al llarg de la línia de corrent serveix per donar una explicació qualitativa a diversos efectes, com son aquest efecte Barus o l’efecte Weissenberg, que veurem més endavant..
Per explicar l’efecte Barus hem de considerar que quan els líquids polimèrics flueixen pel tub de sortida d’un recipient les molècules del polímer s’alineen i estiren al llarg de la línia de flux com a conseqüència de la component normal (radial) de l’esforç que es realitza en arrossegar-los i que quan emergeixen per l’orifici de sortida queden lliures per relaxar-se. La relaxació produeix l’escurçament de la longitud dels fils, augmentant així el diàmetre del feix.
El fenomen depèn del pes molecular mitjà del polímer i la seva distribució, i de les condicions en les que es realitza l’extrusió, com la velocitat de flux o la temperatura. També depèn de la forma de l’extrusor, de manera que es pot minimitzar l’efecte, el que te gran importància en la fabricació de varetes, tubs i làmines de material polimèric que es fabriquen per extrusió de polímers fosos, ja que en cas contrari hauria problemes amb el gruix del productes obtinguts.
Per a visualitzar el fenomen no cal anar a una fàbrica de varetes de plàstic, és suficient moltes vegades amb ficar-se pasta de dents al raspall o amb ficar sabó líquid a la pica quan es vol rentar els plats. En el vídeo el fan amb Polyox (polietilenglicol) i una xeringa i filmant d’aprop, amb el que es nota més.
Efecte Weissenberg
L’efecte Weissenberg, explicat per primera vegada per Karl Weissenberg a Anglaterra durant la segona Guerra Mundial, es manifesta per la pujada dels líquids polimèrics al llarg d’una vareta que gira en el seu si, i és conseqüència de l’aparició de forces normals al moviment del fluid.
Com es mostra a la figura, un líquid newtonià en el que s’ha introduït una vareta que gira és empès cap a fora per mitjà de la imaginària força centrífuga, de manera que resulta una depressió a la superfície del líquid a prop del centre del recipient. Per contra, una solució polimèrica es mou en el sentit oposat, cap al centre del vas i pujant per la vareta. El mateix passa si és un disc el que està girant en el fons del vas.

Les línies de corrent del líquid polimèric agitat per la vareta que gira són circumferències concèntriques que conforme es van separant de la vareta es mouen més lentament com a conseqüència de l’augment de la viscositat en ser menor l’esforç tallant, a diferència del que passa en els líquids newtonians en els que la velocitat angular del líquid és la mateixa al llarg del radi (es mou tot el líquid alhora) i la seva velocitat lineal va augmentant conforme s’apropa a les parets del recipient.
En el cas de l’aigua, per aconseguir una acceleració normal cada vegada més gran conforme ens allunyem del centre (an = w2·R) es necessita una força centrípeta més gran i en conseqüència es fa necessari que la pressió sigui més gran, per la qual cosa puja el nivell de l’aigua cap a les parets.
En el cas dels líquids polimèrics passa al contrari, l’acceleració centrípeta és mes gran al centre i, com en el cas de l’efecte Barus, l’efecte Weissenberg s’explica com a conseqüència de l’aparició d’esforços normals que actuen de manera radial al voltant de la vareta i cap a ella, impulsant la massa de líquid cap al centre i cap amunt contra la força gravitatòria, fent-la pujar així per la vareta.
En el vídeo utilitzen tres tipus de líquids per mostrar l’efecte. Per una banda, crema per pa de pessic (farina, aigua i clara d’ou) que proporciona un efecte Weissemberg pobre, goma Guar creuada amb tetraborat de sodi en dissolució que fa un efecte Weissemberg mitjà i cola blanca (cola de fuster) creuada amb tetraborat de sodi (bòrax) en dissolució que aconsegueix l’efecte Weissemberg més alt.
En el taller que vaig fer a Màlaga començava amb només dos dits de cola blanca (uns 50 mL) en un vas de precipitats per mostrar que en fer girar dins de la cola una vareta lligada a un ventiladoret de joguina, pràcticament ni pujava ni s’enfonsava el líquid al seu voltant. Per a que es visualitzi l’efecte Weissemberg és necessari que el polímer (acetat de polivinil) estigui entrecreuat. Aixó es pot fer de diverses maneres, la més comú és amb tetraborat de sodi (boxax), però també es por fer amb perborat de sodi (que ara ja no es troba als súpers, que l’han substituït per percarbonat de sodi) i amb alguns detergents líquids per rentar a màquina la roba blanca.
A Màlaga vaig utilitzar el detergent Bosque Verde del Mercadona, i també funciona molt bé el detergent Formil per a la roba del Lidl. No sé el que ajuda a entrecreuar l’acetat de polivinil, però afegint una petita quantitat de sabó (uns 5 mL) a la cola ja s’obté un líquid que mostra prou bé l’efecte Weissemberg. Si us passeu en l’entrecreuament podeu arriba a aconseguir, primer el blandi-blub (l’Slime, el moc que fa pets) i després fins i tot pilotetes deformables que boten prou bé.
Efecte autosifó
Si no tinc massa clar a que es deu l’efecte sifó de l’aigua i altres líquids newtonians dins de canonades (sifons), doncs encara menys en el cas dels líquids no-newtonians quan es produeix sense canonada, a l’aire!, malgrat que ja en 2004 Ch. W. MacMinn i G. H. McKinley del MIT fessin una explicació del fenomen en Tubeless Siphon and Die Swell Demonstration.
Certs fluids no-newtonians, com el Poliox (polietilenglicol) o la clara de ou, mostren una gran resistència a estirar-se quan flueixen. Aquesta propietat permet comportaments que no són possibles amb fluids newtonians normals. Per exemple podem tenir l’anomenat sifó sense tub o autosifó, que es pot fer vesant el líquid d’un vas a un altre que estigui per sota però sense necessitat d’inclinar contínuament el got de dalt, només al començament, per cebar el sifó. Després el líquid puja per la paret del vas com si estigués dins un sifó.
Un altre cas és el d’aconseguir fer pujar un líquid del seu recipient amb una xeringa que no toca el líquid. Es comença amb la boca de la xeringa en la superfície del líquid i després es va elevant lentament de manera que arrossega el líquid cap amunt sense necessitat de tub. A aquests fluxos els anomenen de Fano i els podeu veure en el vídeo de sota i més d’aprop aquí.
Com la tensió superficial afecta a la flotabilitat, a la capil•laritat i a la forma dels líquids, i també propicia l’aparició dels efectes Cheerios o Marangoni
Tensió superficial
Les forces cohesives entre les molècules d’un líquid són les responsables del fenomen conegut com a tensió superficial. Les molècules de la superfície no tenen altres molècules iguals sobre seu, i es cohesionen amb aquelles que es troben directament a la superfície o a sota, de manera que pateixen una força neta cap a l’interior del líquid i tendeixen a formar la superfície més petita possible (menor energia potencial) amb la qual cosa es forma una pel·lícula que fa més difícil moure els objectes a través de la superfície que quan estan completament submergits.
Per altra banda, les forces adhesives entre les molècules del líquid i les de la superfície del material que el conté són les responsables d’altres fenòmens, com la capil·laritat, o l’efecte Cheerios.
La tensió superficial, γ, es mesura normalment en mil·linewtons per metre (mN/m), i és la força que es requereix (en mil·linewtons) per trencar una pel·lícula d’1 m. de longitud. També es pot mesurar de manera equivalent com a energia superficial, en joules per metre quadrat (J/m2).
A la taula de sota podem veure com l’aigua a 20 °C té una tensió superficial de 72.8 mN/m més del doble, per exemple, que la de l’alcohol etílic, encara que res a veure amb la del mercuri. Un valor tant alt per a la tensió superficial de l’aigua la fa idònia per a mostrar en ella els efectes que produeix, com la flotabilitat d’objectes més densos o la formació de gotes.

Flotabilitat en líquids d’objectes més densos
Que un bocí de suro suri en aigua ja és normal, la mateixa paraula ho diu i amés tenim que la densitat del suro és més petita que la de l’aigua, però que suri una agulla o un clip d’acer, malgrat que sigui una experiència que gaire bé fen fer a tots els nens, ja no és tan normal, la densitat de l’acer és més de 7 vegades la de l’aigua.
I els sabaters, com el de la foto?, com és que no toquen amb la panxa a l’aigua?. Doncs bé, la clau està en que l’aigua no acaba de mullar les potes de l’insecte i que amés l’aigua s’enfonsa una mica, com s’aprecia a la fotografia i remarco en el dibuix de sota que representa la secció d’una agulla d’acer surant en aigua.
El que fa l’agulla és pressionar la capa superficial d’aigua cap a baix deformant-la, estirant-la, augmentant la seva superfície, el que produeix una reacció cap a dalt resultant de les forces de cohesió de les molècules d’aigua de la superfície que, en el cas d’objectes no massa pesats, és suficient per mantenir-los flotant.

Una altra manera d’explicar la situació és considerar els aspectes energètics de la tensió superficial. L’aigua te una determinada energia potencial per unitat de superfície (el valor de la tensió superficial), i si la superfície augmenta al deformar-se cap a baix, com en el cas de l’agulla que sura, augmenta la seva energia potencial, disminuint la de l’agulla a l’enfonsar-se, de forma similar a la d’un pes que penja d’una molla.
Aquesta propietat es pot aprofitat per a fer molt d’altres experiments, com el del rellotge d’aigua que apareix al vídeo de la xerrada a Màlagadel començament d’aquesta entrada, però un dels que més m’agrada és el de l’aigua que no cau de l’ampolla malgrat que te la boca destapada, i que explica molt bé Tavi Casellas en el seu bloc.
I si encara us quedeu amb ganes, mireu-vos l’article de 2007 Experiències amb la tensió superficial de Martínez Espinet, en la revista Ciències.
Flotabilitat en la matèria granular
Com ja vaig explicar en l’entrada Experiments científics en l’any internacional dels llegums, la matèria granular en estat d’agitació te un comportament semblant en alguns aspectes al dels líquids. Per exemple, els objectes més densos s’enfonsen i els més lleugers suren quan el material s’agita horitzontalment (no verticalment!), mentre que en estat de repós mantenen els objectes més densos en la seva superfície com si actués una mena de tensió superficial que no és sinó la força de fricció entre les partícules de la matèria granular.
Per a fer l’experiment, que per cert és un dels que més encanta als nens petits, es necessita un recipient ple de cigrons, mongetes o llenties (no cuits), una bola d’acer una mica gran (si pot ser d’uns 3 cm de diàmetre) i una pilota de ping-pong. S’enfonsa la pilota de tennis de taula dos o tres centímetres de profunditat entre els llegums sense que el públic la vegi i es col·loca la bola d’acer a la superfície sobre les llegums.
Després es sacseja el recipient horitzontalment amb les mans durant uns segons i es veu que la bola d’acer s’enfonsa, desapareix, i poc després torna a aparèixer flotant a la superfície convertida en una pilota de tennis. 
Efecte Cheerios o de Borelli
En mecànica de fluids es coneix com efecte Cheerios a la tendència dels objectes petits que floten d’atreure’s els uns als altres a causa d’una combinació de la tensió superficial i la adhesió. Quan s’esmorza llet amb cereals de gra uniforme es pot observar com les unitats que suren en la llet tendeixen a agrupar-se entre si formant un grup.
Ja hem vist que les interfícies líquides, com és la superfície de la llet, es resisteixen a deformar-se com a conseqüència de la tensió superficial, però al mateix temps la gravetat tira dels flocs de cereal per enfonsar-los, de manera que el seu pes fa que la llet el mulli lleugerament per sota però no per les parets laterals, formant un enfonsament en la superfície del líquid.
Un segon cereal també formarà el seu propi solc en la superfície de la llet, i si aquests dos passen a la deriva a prop un de l’altre, tots dos buits s’uneixen i els flocs semblen “caure” un sobre un altre, com si es tiressin entre si per una estranya força d’atracció.
El mateix passa amb qualssevol d’altres petits objectes semblants entre si que surin en un líquid, com unes xinxetes, per exemple, o també les bombolles de la cervesa o el vi escumós, que després d’uns segons de ser servides tendeixen a agrupar-se en el centre del vas per posteriorment anar a la deriva cap a les parets exteriors.

L’efecte Cheerios s’ha batejat així en honor als famosos cereals per esmorzar, però va ser molt abans que el físic Giovanni Alfonso Borelli (1608-1679) va descobrir que els cossos que suren a la superfície d’un líquid s’atrauen mútuament si cada un d’ells és mullat pel líquid i també si el líquid no mulla a cap dels cossos. En canvi, si el líquid mulla només un d’ells, s’observa una repulsió mútua.
Una explicació més detallada la podeu trobar en l’article The ‘‘Cheerios effect’’ de 2005 del professors de Harvard Dominic Vella i L. Mahadevan., del que també es fa ressò el professor Basili Martínez de l’Ins Martí i Pol de Roda de Ter en l’article de 2012, L’univers en un plat de llenties, on a més d’explicar molt bé el fenomen, proposa cinc experiments relacionats amb l’efecte.
Un experiment complementari al de l’efecte Cheerios i que és coherent amb les conclusions del físic Borelli consisteix en fer surar en un vas d’aigua una piloteta i/o un conjunt de xinxetes. Les pilotes de pin-pong que suren en un got tendeixen a anar al centre o a les parets en funció de si l’aigua sobresurt de la vora del vas, o no l’omple.
Per això es plena fins la meitat un got d’aigua i es deixa flotar dins una pilota de ping-pong (que és menys densa que l’aigua). La piloteta es mourà fins anar a parar a la paret del vas. Si separem la pilota, tornarà a la paret. A continuació anirem afegint aigua al vas fins que es formi un menisc per sobre de la vora. Quan l’aigua sobresurt la pilota de ping-pong abandona la vora i se’n va cap al centre del got.


Si en lloc d’usar pilotes de ping-pong s’utilitzen xinxetes veurem que tendeixen a ajuntar-se entre elles i que es comporten respecte al moviment a les parets del vas a l’inrevés de les pilotes: quan el vas no està ple se separen de la paret, i quan l’aigua sobresurt del got se’n van cap a les vores, ja que el menisc que formen amb l’aigua és convex, a diferència del de la pilota, que és còncau. Podeu veure l’efecte en acció en el vídeo de sota.
Adherència a les parets del recipient
Capil·laritat
La capil·laritat és una propietat dels líquids que depèn de la seva tensió superficial (que al seu torn depèn de la cohesió del líquid) i de l’adhesió a les parets del recipient i que li confereix la capacitat de pujar o baixar per elles.
Quan un líquid puja per un tub capil·lar, és degut al fet que la força intermolecular o cohesió intermolecular entre les seves molècules és menor que l’adhesió del líquid amb el material del tub (cas a) en el dibuix de dalt), és a dir, és un líquid que mulla.
El líquid segueix pujant fins que la tensió superficial és equilibrada pel pes del líquid que omple el tub. Aquest és el cas de l’aigua, i aquesta propietat és la que per exemple regula parcialment el seu ascens dins de les plantes o fa que formi un menisc en la seva superfície.
No obstant això, quan la cohesió entre les molècules d’un líquid és més potent que l’adhesió al capil·lar (cas c) del dibuix de dalt), com el cas del mercuri, la tensió superficial fa que el líquid baixi a un nivell inferior i la seva superfície és convexa.
En un dels experiments de la iniciativa de la ESA Porti la seva aula a l’espai, es proposava als estudiants submergir parcialment en un líquid dues plaques quadrades de vidre d’uns 10 cm d’arista unides en un costat i una mica separades en l’altre per tal d’estudiar com puja el líquid per les parets, en funció de la distància entre elles. En la pàgina que enllaço al projecte de l’ESA podeu veure un vídeo del experiment portat a terme en l’Estació Espacial Internacional, i en el vídeo de sota podeu veure l’experiment en plan casolà amb dos portes de microscopi a la Terra. Per cert, l’altre experiment del projecte, el de pesar els astronautes a l’espai, el va proposar de fer Anicet Cosialls.
Efecte Marangoni
En mecànica de fluids, es denomina efecte Marangoni el fenomen de transport de material al llarg d’una interfície sota la influència d’un gradient de tensió superficial. Aquest efecte és responsable del fenomen de les llàgrimes de vi.
Això del vi i els licors te molta tirada, així que aquest fenomen ha estat prou estudiat des de fa temps. Sembla que va començar l’enginyer James Thomson, germà de Lord Kelvin en 1855, i va continuar el físic italià Carlo Marangoni, en honor al qual porta el seu nom, i que el va estudiar a la seva tesi doctoral a la Universitat de Pavia en 1865. Més endavant J. Willard Gibbs també va tractar teòricament l’efecte en la seva gran obra Sobre l’equilibri de les substàncies heterogènies escrita entre 1875 i 1878. L’efecte marangoni continua sent objecte d’estudi avui en dia, encara que no tant pel vi si més no per les aplicacions que te en el camp dels microfluïds.
Com un líquid amb una elevada tensió superficial tira més fortament del líquid circumdant que un altre líquid amb menor tensió, la presència d’un gradient de tensió superficial obliga que el líquid flueixi naturalment des de les regions de baixa tensió a les regions alta tensió superficial. Aquesta variació pot estar causada per un gradient de concentració o bé per un gradient de temperatura.
Per exemple, el vi pot mostrar l’efecte anomenat “llàgrimes de vi”, com es mostra a la fotografia. Aquest efecte està causat del fet que l’alcohol té una tensió superficial menor que l’aigua. Si l’alcohol es barreja homogèniament amb aigua, una regió que tingui una baixa concentració d’alcohol estirarà el líquid amb més força que una regió on l’alcohol estigui més concentrat, de manera que el líquid tendeix a fluir cap a les regions de baixa concentració de alcohol.
El vi forma un menisc amb les parets de les copes on augmenta la superfície lliure del líquid i on l’evaporació és més gran, sobre tot la de l’alcohol que és més volàtil que l’aigua. Segon es veu en la figura de sota, en evaporar-se l’alcohol puja la tensió superficial i el vi tendeix a puja per la paret de la copa encara més, fins que el seu pes supera al gradient de tensió i cau en forma de gotes (llàgrimes). La formació de les gotes com a corrents de líquid separades és produeix com a conseqüència de la denominada inestabilitat de Rayleigh-Taylor.

L’efecte és doncs conseqüència de l’alcohol etílic contingut en el vi, contràriament a la creença popular (i de molts entesos) que iguala les llàgrimes a un alt contingut de glicerol. El glicerol o glicerina (propà-1,2,3-triol) també és un alcohol, però gaire bé no contribueix a l’efecte ja que és molt menys volàtil que l’etanol i està en molta menys concentració. En un vi normal cal agitar prèviament una mica la copa per a que es visualitzi el fenomen, però si el licor conté més del 20% en alcohol l’efecte Marangoni ja s’observa en una copa immòbil.

L’experiència de l’efecte Marangoni no cal que es faci sempre en vertical, també pot mostrar-se posant una pel·lícula d’aigua sobre una superfície llisa i dipositant després una gota d’alcohol al centre de la pel·lícula; llavors s’observa que el líquid tendeix a “fugir” de la regió on va caure la gota d’alcohol.
Hi ha molts més fenòmens i experiments molt interessants relacionats amb la varietat de propietats no només mecàniques, sinó també elèctriques, termodinàmiques, òptiques, etc dels diferents tipus de líquids, com pot ser la formació de gotes, l’evaporació, l’efecte Leidenfrost, la miscibilitat, l’addició de volums, la invisibilitat, la formació de l’Arc de Sant Martí, etc, etc, però pels que heu tingut l’interès i la paciència d’arribar fins aquí, crec que ja n’hi ha prou per avui.



