Aquesta entrada va de mostrar amb experiments algunes de les propietats de la llum polaritzada, i dels polaritzadors i retardadors. Malgrat que la llum no està molt ben tractada en els currículums escolars, és un fenomen fascinant i fonamental en el nostre dia a dia al que sempre convé tornar.
A més, el fenomen de la polarització no és només una anècdota, si més no intervé en moltes aplicacions pràctiques de molts àmbits com en la fotografia, la cinematografia, la química o l’astronomia.

Tot i que la major part de les fons de llum l’emeten ones electromagnètiques (transversals) que vibren en totes les direccions perpendiculars a la del seu avanç (llum despolaritzada), resulta que la llum pot ser polaritzada, el que significa que les vibracions de l’ona es limitaran a un sol pla. Explorarem doncs aquesta possibilitat de polaritzar la llum, com fer-ho amb els polaritzadors, com modificar la polarització amb els retardadors, que no despolaritzadors (entre els quals la cel·lofana), i finalment parlarem dels polarímetres.
- Què és la llum polaritzada?
- Polarització per absorció
- Polarització per reflexió
- Polarització per dispersió
- Polarització per birefringència
- Els retardadors
Què és la llum polaritzada?
La llum que emet qualsevol focus està produïda per la vibració aleatòria de milions de partícules, per la qual cosa els camps de les ones electromagnètiques que formen els feixos de llum vibren en qualsevol direcció de l’espai.
Quan una ona de llum està polaritzada, significa que les vibracions dels camps elèctric i magnètic de les ones electromagnètiques que la componen només es produeixen en un pla determinat (polarització lineal) que de vegades pot girar amb el temps (polarització el·líptica i polarització circular). S’aconsegueix polaritzar la llum mitjançant polaritzadors de diversos tipus, com veurem a l’apartat següent.
En la imatge doble de sota es prescindeix per simplificar de representar el vector camp magnètic i només es representa en negre el camp elèctric que és el que s’utilitza normalment per a representar el pla de polarització de la llum. També estan representades les projeccions en el eixos X i Y d’aquest camp elèctric. Dels dos, el dibuix de dalt correspon a una ona polaritzada circularment, i el dibuix de baix representa una ona polaritzada linealment amb una inclinació de 45º.
Per aprofundir una mica més en el fenomen de la polarització i els conceptes que l’envolten podeu llegir-vos els capítols corresponents dels llibres Física Universitaria de Ling, Anny i Moebs (2021) o del de Beléndez (1996), Fundamentos de Óptica para ingeniería Informàtica, o directament anar al mapa conceptual de Hiperphysics i clicar en qualsevol dels conceptes.

Els polaritzadors
Els polaritzadors són dispositius òptics que s’utilitzen per a polaritzar la llum 😉 . Bàsicament, funcionen filtrant les vibracions en un pla específic i permetent només el pas de la llum polaritzada en aquesta direcció. Hi ha diversos tipus de polaritzadors: els més comuns son els polaritzadors lineals, però uns altres polaritzen la llum circularment o altres com els birefringents generen dos feixos de llum polaritzada perpendicularment entre si, per exemple.
Com explica en el video de sota el professor de la Universitat Politècnica de Valencia Marcos Giménez la polarització es pot aconseguir per absorció en materials dicroics com el Polaroid, per reflexió, per dispersió i amb l’ús de materials birefringents en prismes polaritzadors.
Polarització per absorció
Els filtres polaritzadors lineals, com els Polaroid, tenen un eix de polarització que actua com una escletxa. Aquesta escletxa deixa passar les ones electromagnètiques que tenen un camp elèctric paral·lel a l’eix. Això s’aconsegueix amb molècules llargues alineades perpendicularment a l’eix (en el dibuix de sota, horitzontals) en les que el camp elèctric genera petites corrents que dissipen l’energia en aquesta direcció.

De vegades a aquests tipus de polaritzadors se’ls hi diu dicroics. Una de les accepcions de dicroisme (és paraula polisèmica) fa referència als materials capaços de polaritzar un raig de llum, de manera que quan la llum viatja a través d’aquests mitjans dicroics experimenta una absorció variable en funció del seu pla de polarització. El terme dicroisme prové de l’estudi de certs cristalls, tals com la turmalina en la que l’efecte del dicroisme varia notablement amb la longitud d’ona de la llum, fent que apareguin diferents colors associats a diferents plans de polarització, però aquest efecte seria pleocroisme. Però en les làmines polaritzadores que utilitzarem nosaltres, o a les pel·lícules Polaroid, l’efecte no depèn gaire de la longitud d’ona, de manera que tracten de la mateixa manera tota la llum visible des dels 380 als 780 nm, i per tant el terme dicroic no seria massa precís.
Experiments de blocatge de llum:
Anem a veure alguns experiments senzills que podem realitzar amb làmines polaritzadores o ulleres polaritzadores. Les ulleres polaritzadores poden ser ulleres de sol, que tindran l’eix de polarització vertical, o ulleres per veure pel·lícules en 3D fetes amb tecnologia de llum polaritzada, que poden tenir l’eix vertical o inclinat 45º, i que poden tenir la muntura de plàstic o de cartró.
Si disposeu d’ulleres, perfecte, si no és preferible des del meu punt de vista comprar làmina polaritzadora, que és més barat i més versàtil. Podeu trobar a internet tres làmines de 20×30 cm per 28 €. Les làmines es poden tallar en quadradets petits amb unes tisores de manera que amb una làmina tens polaritzadors per tota una classe.

Experiencia 1. Agafeu dos polaritzadors lineals (dos vidres d’ullera, dos bocins de làmina polaritzadora) i col·loqueu-los un sobre l’altre de manera que l’eix de polarització del primer estigui alineat amb el segon (paral·lels). Si mireu a través dels polaritzadors veureu que deixen passar quasi tota la llum ja que els eixos de polarització estan alineats. Això és perquè el primer element polaritza la llum en una determinada direcció i el segon la deixa passar.
Ara preneu el dos polaritzadors i col·loqueu-los també un a sobre de l’altre però de manera que els seus eixos de polarització estiguin perpendiculars entre si. Si mireu al seu través veureu els polaritzadors negres ja que la llum s’ha bloqueja completament. Això és degut a que els eixos de polarització dels polaritzadors estan creuats, el primer polaritza la llum, per exemple en vertical, i l’altre la bloqueja ja que el seu eix està en horitzontal, la qual cosa impedeix el pas de la llum polaritzada.

Experiència 2. Per aquesta segona experiència necessitarem, a més de unes ulleres polaritzades o un polaritzador lineal, un rellotge digital, una calculadora i/o una pantalla de portàtil.
Col·loqueu el polaritzador davant els elements que he indicat. Observareu que per a diferents posicions las pantalles s’enfosqueixen o es veuen clarament. Això és deu a què les pantalles electròniques ja emeten llum polaritzada i per tant no necessitem més que un polaritzador per bloquejar la llum.
Si disposeu d’un punter làser podeu apuntar a una paret i intercalar un polaritzador en el seu camí. Veureu que per a determinades posicions del polaritzador la llum del làser disminueix considerablement. La llum dels làser es polaritza per reflexió abans de sortir del punter i per això passa com amb les pantalles electròniques.
Llei de Malus
Experiència 3. Preneu un polaritzador lineal i col·loqueu-lo davant d’una font de llum. Fiqueu un altre en la mateixa posició davant seu i veureu com passa la llum. Gireu ara un dels polaritzadors respecte a l’altre i observareu com la llum deixa de passar gradualment fins que quan estiguin els dos polaritzadors creuats es veurà tot fosc. Aquest efecte s’explica pel fet que les vibracions de l’ona de llum que surt del primer polaritzador són bloquejades total o parcialment quan no estan alineades amb l’eix de polarització del segon polaritzador.
Experiment 4. Aquesta variació de la intensitat de la llum que travessa el dos polaritzadors en funció de l’angle que formen es pot mesurar i dona lloc a l’anomenada Llei de Malus.
Com hem vist en el gif de dalt, quan es disposa de llum polaritzada com la que emet una pantalla en blanc d’ordinador, un segon polaritzador pot disminuir la intensitat lluminosa del feix de llum que el travessi i fins i tot bloquejar-ne el pas. La magnitud d’aquesta reducció depèn de la inclinació respectiva entre el pla de polarització del feix de llum i el pla polaritzador del filtre polaritzador. La relació quantitativa d’aquest fenomen ve donada per l’equació (llei de Malus):

On I és la intensitat de la llum polaritzada després d’haver travessat el filtre polaritzador, I0 és la intensitat de la llum polaritzada abans del filtre polaritzador i θ és l’angle entre les direccions de polarització de la llum abans i després de travessar el polaritzador.

Per tal d’obtenir experimentalment aquesta llei us recomano que seguiu les instruccions que Martín Monteiro ens proposa en Experimentos utilizando una pantalla de monitor como fuente de luz polarizada (I). Ley de Malus con Smartphone, on obté la llei de Malus amb un telèfon mòbil usant alhora el sensor de llum amb un filtre polaritzador i el giroscopi. Com a font de llum polaritzada utilitza una pantalla d’ordinador.
Polarització per reflexió
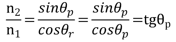
La llum reflectida en una superfície plana que separa dos mitjans transparents està parcialment polaritzada i el grau de polarització depèn de l’angle d’incidència i dels índexs de refracció dels dos mitjans. Com mostra el dibuix de sota, la llum reflectida està completament polaritzada quan l’angle d’incidència (θp) és tan gran que els raigs reflectit i refractat són perpendiculars entre si. La llum reflectida amb angle θp, anomenat angle de polarització o angle de Brewster, queda polaritzada en un pla perpendicular al pla d’incidència.
A la figura de dalt el pla d’incidència de la llum és el del dibuix, i la direcció de polarització del raig reflectit és perpendicular al pla del dibuix. Quan es donen aquestes condicions també s’acompleix la llei de la refracció (llei de Snell):

Però en aquest cas θ2 i θr són complementaris

i l’angle d’incidència i de reflexió han de ser iguals

És a dir, obtenim la llei de Brewster:

sent n1 i n2 els índexs de refracció dels mitjans 1 i 2, respectivament.
Experiments de polarització per reflexió
Experiencia 5. Es mira el reflex d’una figura que es reflecteix en una superfície de vidre, de aigua o d’una taula llisa que reflecteixi la llum. La taula pot ser com les de laboratori amb superfície plàstica, o de marbre, o de fusta lacada. A continuació es torna a mirar però ara amb un polaritzador davant l’ull amb el seu eix de polarització vertical. Ara ja no es veu la figura o es veu molt fosca. Si es gira el polaritzador de manera que el seu eix queda horitzontal, es torna a veure la figura.

També es pot ficar la superfície davant una finestra mirar-la amb un angle petit de manera que es veu el paisatge exterior, com en la foto de l’esquerra de dalt. Si interposem com abans una làmina polaritzadora amb l’eix perpendicular a la superfície, la imatge exterior s’enfosqueix i es veu la superfície.
En aquestes dues fotos de sota tenim el mateix fenomen. La fotografia de la dreta està tomada amb una càmera amb polaritzador i per això no es veuen el reflexos i es veu el fons de l’aigua.
Els pescadors es compren ulleres polaritzadores per veure els peixos, encara que en molts concursos de pesca estan prohibides.
Experiment 6. La polarització per reflexió es pot utilitzar per mesurar indirectament el índex de refracció del material en què es reflecteix la llum. El muntatge de l’experiment podria ser el de la fotografia de sota, on tenim una bombeta com a font de llum, un vidre sobre una taula en el que es reflectirà la llum de la bombeta i una ullera que s’utilitza com a polaritzador.

A la figura de sota tenim una simplificació del muntatge.

Si apliquem la llei de Brewster tenint en compte que el mitjà 1 és aire s’obté: n = tgθp
i donada la geometria de l’experiment es pot deduir que:

És a dir, si es mesura amb cura L, h i H, s’obtindrà el valor de l’índex de refracció del material reflector i també el de l’angle de Brewster. S’han de prendre les mesures quan la disposició experimental correspongui a l’angle de Brewster, és a dir, quan es detecti la mínima llum reflectida a través del polaritzador; això passa quan desapareix la imatge de la bombeta (que no del filament) mirant a través del polaritzador.
Es mira a través del polaritzador la imatge de la font lluminosa que es forma al vidre i es gira lentament el polaritzador fins a obtenir la màxima disminució de la lluminositat de la imatge. Si encara la imatge es veu prou lluminosa, s’ha de desplaçar verticalment (i també horitzontal per a que la imatge no surti del vidre) el polaritzador i fixar-lo en el punt on la imatge reflectida es vegi el més fosca possible. Aquesta maniobra variarà l’angle de reflexió i per tant també el d’incidència, atès que aquests dos angles són iguals.
En el cas del muntatge de la fotografia de dalt, per a un vidre simple de finestra, i sense massa miraments, he obtingut els següents valors: h = 13 cm, H = 17 cm i L = 48 cm. Per tant:

El que és un valor que no s’allunya massa dels que tenen els vidres.
Polarització per dispersió
La dispersió pot polaritzar la llum. Atès que la llum és una ona electromagnètica transversal, fa vibrar els electrons de les molècules del mitjà per on viatja, perpendicularment a la direcció de l’avanç. Els electrons irradien llavors com a petites antenes. Atès que oscil·len perpendicularment a la direcció del raig de llum, produeixen una radiació electromagnètica polaritzada perpendicularment a la direcció del raig.
La polarització per dispersió pot observar-se quan la llum passa per l’Atmosfera terrestre. La dispersió de la llum produeix la resplendor i el color quan el cel està clar. També es dispersa i polaritza quan la llum passa per un medi amb partícules microscòpiques en suspensió.
Experiments de polarització per dispersió
Experiència 7. La llum que es dispersa perpendicularment als raigs del sol és la que surt polaritzada, per tant, per observar la polarització per dispersió per les molècules de l’aire hem de dirigir el nostre polaritzador cap el cel a uns 90º a dreta o esquerra d’on es troba el sol en aquest moment. Si es gira el polaritzador veurem que hi ha dues posicions en les que el cel es veu més fosc.

També es pot dispersar la llum en fer-la passar per un got d’aigua amb unes gotes de llet. Fiqueu aigua en un vas o, si disposeu, en un recipient de base rectangular, afegiu-li unes gotes de llet i remeneu. Heu de fer passar pel vas un feix de llum d’una llanterna a la que heu ficat davant un cartonet amb un forat al mig. No s’ha de fer amb un punter làser perquè la seva llum ja està polaritzada.
Podem pensar que el feix de llum de la llanterna conté fotons de llum que estan polaritzats en totes direccions: horitzontalment, verticalment i tots els angles intermedis. Si ara només tenim en copte la llum que travessa el got polaritzada verticalment hem de considerar que només romandrà polaritzada verticalment la que es dispersi cap al costat, però aquesta no es podrà dispersar cap amunt. Es a dir, per conservar la característica d’una ona transversal després de la dispersió, només es pot dispersar lateralment la llum polaritzada verticalment i només es pot dispersar cap amunt la llum polaritzada horitzontalment. Per comprovar això podeu fer les dues experiències següents:
Experiència 8. Col·loqueu un filtre polaritzador entre la llanterna i el vas. Gireu el filtre mentre una persona veu el feix transmès des de la part superior i una altra el veu des del costat. Quan la persona que mira cap avall des de dalt veu un raig brillant, la persona que mira des del costat veurà un raig tènue, i viceversa.
Experiència 9. També podeu subjectar el filtre polaritzador entre els ulls i el got i girar el filtre perquè el feix sembli més brillant o més fosc. Quan l’eix de polarització del filtre estigui alineat amb la direcció de polarització que surt del vas es veurà més brillant, i quan estigui en angle recte, més fosc.

Polarització per birefringència
La birefringència o doble refracció és una propietat de certs cossos, com l’Espat d’Islàndia, que és una varietat de calcita (CO3Ca) que cristal·litza en el sistema trigonal, de desdoblar un raig de llum incident en dos rajos linealment polaritzats de manera perpendicular entre si com si el material tingués dos Índex de refracció diferents. La primera de les dues direccions segueix les lleis normals de la refracció i s’anomena raig ordinari; l’altra té una velocitat i un índex de refracció variables i s’anomena raig extraordinari.
Això es deu a que el vidre de calcita és un medi anisòtrop per la qual cosa la llum es veurà afectada per diferents índexs de refracció segons la direcció de propagació. Aquests índex depenen de com és polaritza el feix de llum. La llum amb una determinada polarització lineal es veurà afectada per un índex de refracció ordinari i la polarització lineal perpendicular a l’anterior per un altre índex extraordinari. D’aquesta manera, qualsevol figura il·luminada amb llum natural en veure’s a través del vidre es veurà descomposta en dues a conseqüència de la doble refracció ja que hi pateix dos diferents índexs de refracció i per tant dos diferents angles de refracció.
Experiments de polarització per birefringència

Experiència 10. Per comprovar el fenomen de la doble refracció es necessita un vidre d’espat d’Islàndia convenientment tallat i prou transparent. Es pot comprar als mercadets o botigues de roques i minerals on ja veureu si el que compreu us far el paper, o per internet. Si és per internet us recomano que truqueu a la botiga abans de comprar ja que una cosa pot ser la foto que fiquen i una altra la que estàs comprant, i comproveu si el cristall és prou gruixut i transparent (els podreu trobar entre 3 i 9 €).
Si fiqueu l’espat a sobre d’un text o figura, com les línies de la foto, la imatge que es veu a través és doble, però en girar el cristall a sobre les línies o bé es separen més o s’ajunten.
Experiència 11. Ja que les dues imatges produïdes per la birefringència dels cristalls d’espat d’Islàndia tenen polaritzacions lineals creuades, es pot utilitzar un polaritzador lineal per comprovar-lo. Col·loqueu un polaritzador horitzontalment damunt el cristall de l’experiència anterior i gireu-lo horitzontalment. En una determinada posició es deixen de veure dues de les línies i si es gira ara 90º es deixen de veure les altres.
Els retardadors
A més dels polaritzadors, per modificar l’estat de polarització d’un feix de llum podem utilitzar elements no tan conegut que s’anomenen làmines d’ona o retardadors. Els retardadors són dispositius òptics que s’utilitzen per a retardar la fase de la llum polaritzada. Això vol dir que la vibració de l’ona es desfasa en un cert grau a mesura que passa a través del retardador. Aquest desfasament pot ser constant o variable en funció de l’angle d’incidència i l’estructura del retardador utilitzat. Els retardadors tenen una gran varietat d’aplicacions, com ara en microscòpia, òptica polaritzada i la indústria de les pantalles.
L’espat d’Islàndia podria utilitzar-se com a retardador però en aquest cas hauria de tallar-se amb l’eix òptic perpendicular al pla d’incidència per no produir doble imatge quan la incidència sigui normal. En aquestes condicions, totes dues components (ordinària, que vibra perpendicularment a l’eix òptic, i extraordinària, que vibra segons l’eix òptic) pateixen el mateix índex de refracció en propagar-se per l’interior de la làmina, per la qual cosa només es produeix desfasament entre elles i no separació.

Hi ha retardadors de 3 tipus: de quart d’ona, de mitja ona i d’ona completa. El canvi que produeixen és un desfasament entre les dues components del cap elèctric de l’ona polaritzada, el que unes vegades suposa una simple rotació d’un un cert angle de la llum polaritzada linealment i altres la producció d’una ona polaritzada circularment. Per a les làmines de quart d’ona el desfàs és de 90º (converteixen la polarització lineal en circular), per a les de mitja ona és de 180º (només giren el pla de polarització de l’ona) i per a les d’ona completa és de 360º (poden anul·lar-se determinades freqüències).
Nosaltres ens centrarem en els retardadors de mitja ona. Aquests retardadors tenen una característica interessant: si col·loquem dos polaritzadors creuats no hem de veure res, però en interposar entre aquests una làmina de mitja ona formant un angle de 45º que només cobreixi part del polaritzador seguirem veient llum a través seu.
No s’han de confondre els retardadors amb els despolaritzadors (que haberlos, haylos), entre els quals es troben els anomenats prismes despolaritzadors, que són dispositius òptics capaços de modificar l’estat de polarització a cada punt del pla transversal dels feixos de llum, obtenint un continu d’estats de polarització i per tant un grau de despolarització prou bo, però realment son pseudo-despolaritzadors.
El mite de la cel·lofana despolaritzant
Malgrat l’expressió que de vegades es sent de que la cel·lofana despolaritza la llum, realment no ho fa ja que no és un despolaritzador sinó més aviat un retardador. El paper de cel·lofana (que és un plàstic derivat de la cel·lulosa) és una substància que retarda mitja ona la llum polaritzada, el que vol dir que gira el pla de polarització 90º i que pot substituir amb molt èxit els retardadors comercials, com mostren Els professors Pérez, M. I Ortiz, M a l’article Película de celofán como retardador de media longitud de onda de amplio espectro.

La cinta adhesiva de cel·lofana o el paper de cel·lofana és un material transparent que té la capacitat de retardar la llum polaritzada en funció del seu gruix. Això és el que causa l’efecte de colors que observem quan col·loquem la cel·lofana entre dos polaritzadors.
Quan la llum polaritzada passa a través de la cel·lofana, es produeix una interacció entre l’ona de llum i la estructura molecular de la cel·lofana. Aquesta estructura està formada per molècules allargades i alineades en una direcció determinada, que moltes vegades són visibles a simple vista.
El gruix de la cel·lofana determina la quantitat de retardament que experimenta la llum polaritzada. A mesura que la llum passa a través de capes successives de cel·lofana, cada capa afegida augmenta el retardament. Això significa que les vibracions de l’ona de llum es desfasen cada vegada més a mida que passen a través de les molècules de la cel·lofana. Com a resultat, quan la llum polaritzada retardada passa a través d’un segon polaritzador, es produeix una interferència entre les vibracions retardades i les vibracions alineades amb l’eix de polarització del segon polaritzador.

Aquesta interferència de les vibracions retardades i les vibracions alineades crea un patró de colors. Els colors que observem depenen de l’angle d’incidència de la llum polaritzada, l’orientació dels polaritzadors i el gruix de la cel·lofana. A mesura que varien aquests factors, el retardament de la llum i el patró de colors resultants també canviaran.
Us crido l’atenció sobre que aquest efecte de retardament i aparició de colors només es produeix quan la llum que incideix en la cel·lofana està polaritzada. Si utilitzem llum no polaritzada, la cel·lofana no mostrarà aquest efecte de colors a no ser que prèviament la polaritzen amb un altre polaritzador, per exemple posant la cel·lofana entre dos polaritzadors.
Experiments de retardament de la llum
Experiència 12. Amb paper de cel·lofana i/o cinta adhesiva. Retalleu una tira de cel·lofana transparent i col·loqueu-la entre dos polaritzadors lineals. Si gireu, bé la cinta o bé un dels polaritzadors observareu que la llum en retardar-se adquireix diferents colors a mesura que passa per la cel·lofana.

Experimenteu amb diferents gruixos de cel·lofana i observareu com el retardament i els colors canviaran en funció del gruix. Si arrugueu el paper fent una piloteta trobareu un festival de colors.
El paper de cel·lofana es pot comprar en qualsevol papereria i de diferents colors, ja que s’utilitza molt en treballs manuals escolars. El plàstic que usen en les floristeries per embolicar les flors normalment també és de cel·lofana.
Per altra banda, podeu enganxar una tira de cinta adhesiva de cel·lo transparent a un bocí de làmina de plàstic incolor i també transparent. Heu de comprovar que la làmina de plàstic no tingui efecte retardador. Una tapa de llibreta normalment funciona prou bé.
Col·loqueu un polaritzador lineal per sota de la làmina i després afegiu un altre polaritzador a sobre. Si gireu un dels polaritzadors observareu com també el cel·lo actua com a retardador i com la llum que passa a través de la cinta adhesiva canvia d’intensitat i de color. Si sou una mica artistes podeu aprofitar per aconseguir muntar quadres transparents de cel·lo que es tornen acolorits entre polaritzadors.
Experiència 13. Fotoelasticitat. Quan es fabriquen objectes de plàstic normalment es veuen sotmesos a tensions que els hi aporten la propietat de la birefringència i, per tant, els hi converteixen en les parts tensionades en retardadors. Aquesta propietat que adquireixen es diu fotoelasticitat.
Agafeu un parell polaritzadors i col·loqueu-los creuats. Si mireu al seu través veureu tot fosc. Podeu provar ara a col·locar un objecte transparent, com una regla de plàstic o una capsa de CD, entre els dos polaritzadors i veureu que ara hi ha zones per les que passa llum de colors, que aniran canviant si gireu l’objecte o un dels polaritzadors.
Experiència 14. Visualitzar ones electromagnètiques. El magnífic César Sancho ens mostra en el vídeo com visualitzar els nodes i els ventres d’una ona electromagnètica a l’interior d’una vareta de metacrilat que actua con a retardant per la seva birefringència, com a conseqüència de la seva fabricació per estirament del material.
Polarímetres
S’anomenen substàncies òpticament actives a aquelles que produeixen un gir al pla de polarització de la llum polaritzada linealment que passa a través seu, és a dir, són un tipus de retardants. Seran dextrogires si, mirant cap a la font lluminosa, el gir es produeix en el sentit de les agulles del rellotge, i levogires en cas contrari. L’angle girat pel pla de vibració és proporcional al gruix de substància travessat i depèn de la longitud d’ona de la llum. En general es considera com a referència la ratlla groga D del sodi.
Un exemple de substància òpticament activa és una dissolució de sacarosa (C12H22O11, constituent principal del sucre). Quan la substància òpticament activa és una dissolució, l’angle α girat pel pla de vibració és proporcional al gruix travessat l (en dm) i a la concentració c (en g/cm3 ) de la dissolució, obeint la llei de Biot:

on [α] depèn de la substància emprada i de la longitud d’ona de la llum que la travessa (depèn molt poc de la temperatura i la concentració) i s’anomena rotació específica o poder rotatori. Per a una dissolució de sacarosa i la ratlla D del sodi, [α] = 66,4º dm-1g-1cm3.
La llei de Biot permet calcular a partir de mesures experimentals amb polarímetres la concentració d’una dissolució. Constitueix un important procediment per determinar, per exemple, la quantitat de sucre contingut a l’orina o el tant per cent de sucre en una partida de remolatxa sucrera.

Experiment 15. Polarímetre casolà. Si al centre disposeu d’un polarímetre, no cal més i directament utilitzeu-lo seguint les instruccions del fabricant, en cas contrari podeu muntar un de casolà.

En primer lloc es necessita una bona font de llum. És possible que conserveu un retroprojector i seria la llum ideal, sinó una bona llanterna de leds subjectada en vertical amb la llum cap amunt. A sobre una làmina polaritzadora, i sobre ella un tub d’assaig gruixut dels que tenen el cul pla, que servirà de recipient per les solucions. En la boca del tub un altre polaritzador enganxat a un cercle graduat (transportador d’angles).
Per veure millor l’angle desplaçat per la dissolució de sucre és convenient ficar enganxada en diagonal al segon polaritzador una tireta de cinta adhesiva de cel·lofana, ja que així el contrast entre el fosc i la claror és més gran (com es veu a la foto de la cinta entre polaritzadors) i l’ull el percep millor.
S’encén la llum i es fica el segon filtre de dalt creuat aconseguint la imatge de la foto (una barra transparent entre dos fons negres) i fem que el transportador indiqui 0º sexagesimals. Ara s’introdueix la mostra en el tub d’assaig fins l’altura decidida amb una marca i es gira novament el filtre de dalt fins que es torni a veure el mateix patró. Per acabar, s’anoten els graus que ha calgut girar el segon polarímetre.
Per calibrar el muntatge es fan proves amb dissolucions preparades de sacarosa en aigua destil·lada de concentracions 10, 20, 30, 40 i 50% en massa, per exemple. Posteriorment es poden analitzar les mostres que interessin, com sucs de fruites o refrescos comercials amb diferents continguts de sucre (normals, light).
Altres versions dels experiments amb polaritzadors els hi podeu trobar en els llibres:
- Mejías, P. I altres, 2006, Jugando con la luz 2. Óptica práctica para curiosos. Editorial Nívola. Tres Cantos (Madrid). (uns 10 €).
- Viñas, M. i col·laboradors, 2021, Descubriendo la luz. Experimentos divertidos de óptica. Editors CSIC, SPIE i OSA. (Versió descarregable gratuïtament, en anglès).







[…] un parell d’anys vaig escriure una entrada, Experiències amb llum polaritzada: polaritzadors i retardadors, en la que explicava el fenomen de la polarització i mostrava experiments a portar a terme amb […]