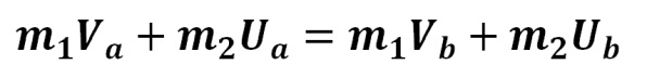
En qualsevol xoc, els cossos experimenten una deformació i s’alliberen petites quantitats d’energia en forma de calor, però si considerem el cas ideal de la col·lisió perfectament elàstica entre dos objectes de masses, m1 i m2, que es mouen en la mateixa direcció, l’energia i la quantitat de moviment totals es conserven, és a dir, per a l’equació de la conservació de l’energia cinètica en el xoc tenim:

on Va i Vb són les celeritats del l’objecte 1 abans i després del xoc, i Ua i Ub són les de la massa 2 també abans i després. L’equació de la conservació de la quantitat de moviment en el xoc és:

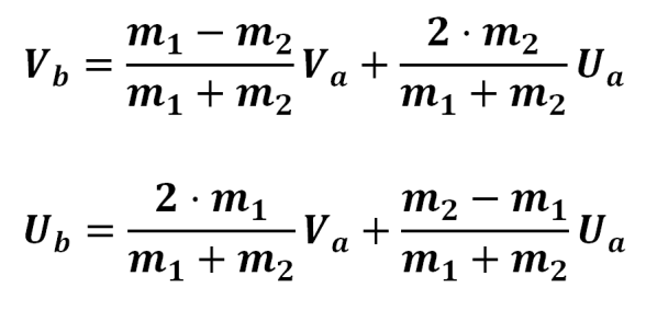
La solució del sistema d’equacions anteriors dona:

I si les masses de les dues boletes són idèntiques, resulta:

És a dir, les boletes intercanvien les seves velocitats; i en el cas que es llanci una boleta contra una altra que estigui quieta, aquesta sortirà llançada mentre que la primera s’aturarà.
Mireu, si us plau, el següent vídeo. En el primer cas que es mostra, una bola xoca contra una altra en un pèndol de Newton reduït a dues boletes. Després de cada xoc la bola que copeja es queda totalment quieta, segons hem predit a l’anàlisi teòric de dalt.
En el segon moviment que es veu en el vídeo es deixa caure una bola per una petita cunya, després es mou en un pla horitzontal i acaba xocant amb una altra que estava quieta. Curiosament, en aquesta cas la bola que xoca no es queda parada i continua movent-se, encara que a menor velocitat. Com és això?
Normalment ni ens fixem, o menyspreem el fenomen. Bé, total ja sabem que els experiments no surten a la pràctica tot lo bé que voldríem. Si ho haguéssim fet bé la boleta hauria quedat parada. Doncs …… no!, la bola ha fet el que havia de fer: no parar-se i continuar rodant.
Quina és la diferència entre les dues situacions?
En els dos casos el xoc es realitza frontalment en una direcció entre dues boles iguals, de la mateixa massa, una de les quals està inicialment aturada, però en el primer cas, el del pèndol de Newton, la bola que es mou ho fa amb una velocitat molt semblant en qualsevol dels seus punts, només pateix un moviment de translació (de fet gira respecte als seus punts de suspensió) i per tant només té energia cinètica de translació.
En el cas del xoc en el pla horitzontal la bola que es mou ho fa rodant i en conseqüència porta energia cinètica de translació i energia cinètica de rotació, i aquesta última encara que sigui més petita no és menyspreable. En el xoc, suposant-lo completament elàstic, només es transfereix l’energia cinètica de translació i la bola que impacta manté l’energia de rotació que portava i per això continua rodant.
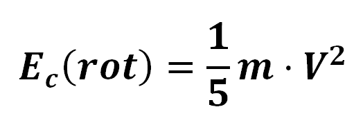
Les energies cinètiques de translació i de rotació d’una bola que roda són respectivament:

I si tenim en compte que el moment d’inèrcia d’una esfera respecte a un eix que passi pel seu centre és I = 2mr2/5, llavors l’energia cinètica de rotació és:

És a dir, el 28,6 % de l’energia total, el que no és poc.
Aquest fet de tenir en consideració la rotació de les boles quan s’estudien els moviments al laboratori fa dies (2007) que ja l’havien senyalat Jordi Solbes, de la Universitat de València, i Francisco Tarin, de l‘IES L’Om de Picassent, a l’article ¿Qué hacemos si no coinciden la teoría y el experimento? (o los obstáculos de la realidad) del número 52 de la revista Alambique Didáctica de las Ciencias Experimentales.
En aquest article mostren com la pèrdua aparent d’energia que pateix una bola quan es deixa anar per un pla inclinat no és tant si es considera l’energia cinètica de rotació a més de la de translació a l’hora de fer el còmput total de l’energia.
Com a resum a sota teniu la intervenció que vaig fer al DDD de de 2023 a Madrid.
